La microbiota intestinal se considera un órgano crucial que desempeña un papel integral en el mantenimiento de la salud del huésped mediante la modulación de varias funciones fisiológicas, incluidas la nutrición, el metabolismo y la inmunidad. El proceso digestivo está fuertemente relacionado con la microbiota intestinal; la absorción de nutrientes, la digestibilidad del alimento, la obtención de energía y, por lo tanto, la productividad están influenciados por la composición y diversidad de la microbiota (Stanley et al., 2013; Mancabelli et al., 2016). La microbiota intestinal del pollo incluye cientos de especies bacterianas dominadas a nivel de phylum por Firmicutes, Bacteroidetes, Proteobacteria y Actinobacteria (Oakley et al., 2014; Clavijo et al., 2018).
Es más que conocido que, la colonización temprana del intestino es de gran importancia para la salud y productividad de las aves de corral, ya que puede alterar la morfología y fisiología del intestino y la susceptibilidad a enfermedades infecciosas (Kers et al., 2018). Una vez eclosionados, el tracto gastrointestinal de los pollos se coloniza sucesivamente por Enterobacteriaceae en los primeros días de vide y luego por Firmicutes (aproximadamente a partir de los 7 días de edad) (Ballou et al., 2016). Sin embargo, la colonización del tracto gastrointestinal con especies bacterianas específicas, pertenecientes a los grupos Enterobacteriaceae o Firmicutes, es probable que sea un proceso estocástico impulsado por el contacto con microorganismos provenientes del ambiente de cría y de bacterias presentes en los alimentos y el agua (Kubasova et al., 2019). Por lo tanto, después de la colonización inicial del intestino se observa una sucesión de microorganismos en los que la riqueza de especies y la complejidad de la estructura de la población de la microbiota aumentan a medida que las aves crecen, hasta que finalmente la microbiota alcanza un estado de maduración y se estabiliza. Este proceso normalmente ocurre en pollos de engorde comerciales alrededor de las 3 semanas de vida (Jurburg et al., 2019; Johnson, et al., 2018). Sin embargo, aunque esta es la regla general en pollos de engorde comerciales, los tiempos de desarrollo y los patrones de sucesión de las especies de microbiota intestinal pueden variar mucho dependiendo del trasfondo genético de las aves y los factores de manejo de la granja (Ding et al., 2018; Ngunjiri, et al., 2019). En esta línea, el aumento en el phylum Proteobacteria, que incluye muchas bacterias potencialmente patógenas, se correlaciona con un perfil de citocinas proinflamatorias, mientras que el aumento en los miembros del filo Firmicutes se asocia con un estado antiinflamatorio. Por lo tanto, la microbiota intestinal está involucrada en la homeostasis inmune del tracto gastrointestinal de las aves y, de ahñi que un desequilibrio en la microbiota intestinal puede provocar un desequilibrio inmune y un impacto en la salud de las aves.
Quórum sensing
El quórum sensing (QS) está relacionada principalmente con la comunicación de bacterias, pero también contribuye a la adaptación ambiental al facilitar la elaboración de determinantes de virulencia en especies patógenas y características de biocontrol de proliferación en especies beneficiosas, así como dirigir la formación de biopelículas y el escape de colonias. QS también cruza el límite procariota-eucariota, ya que las moléculas de señal QS influyen en el comportamiento de los organismos eucariotas en los mundos de eucariotas, plantas y momíferos, de modo que las moléculas de señal QS pueden facilitar directamente la supervivencia bacteriana al promover un estilo de vida ventajoso dentro de un nicho ambiental dado. En este contexto, los inhibidores de QS representan una estrategia importante que puede prevenir, suprimir y/o tratar enfermedades infecciosas. Los detalles mecanicistas son diferentes entre las bacterias Gram-negativas y Gram-positivas. Las bacterias Gram-negativas utilizan lactonas de N-acilhomoserina (AHL) mientras que las bacterias Gram-positivas usan oligopéptidos y ambos grupos de bacterias expresan el sistema Al-2, basado en el diéster de borato de furanosilo (Bouyahya et al., 2017). En consecuencia, mientras que los antibióticos matan o ralentizan el crecimiento de bacterias, los inhibidores de QS simplemente atenúan la virulencia bacteriana, retrasan el impacto productivo y permiten el control de la proliferación de bacterias, mediante su efecto inmunomodulador.
Se ha llevado a cabo una gran cantidad de trabajo sobre el QS en agentes patógenos mortales como Pseudomonas aeruginosa, Staphylococcus aureus, Vibrio fischeri, Vibrio harveyi, Escherichia coli, Vibrio, Cólera, etc. Varios de estos estudios han tenido éxito en la explotación del sistema bacteriano de QS como objetivo potencial para el tratamiento de infecciones bacterianas. Se cree que la inhibición del sistema de QS es ventajosa sobre los antibióticos convencionales, porque solo el mecanismo de comunicación entre las bacterias se interrumpe sin matar las células individuales. Por lo tanto, esta estrategia debería generar una presión selectiva más baja y reducir la velocidad a la que se desarrolla la resistencia antibiotica durante el tratamiento (Williams, 2007).
Figura 1: Proceso de proliferación intermedio mediante comunicación de quórum sensing entre bacterias patológicas.
Aditivos anti-quórum sensing
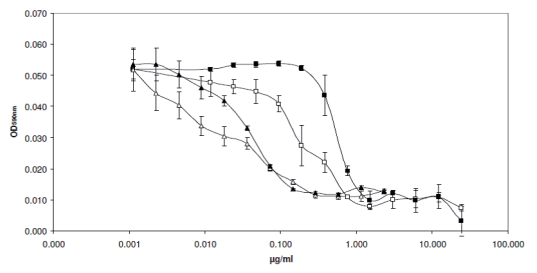
Se ha demostrado que los metabolitos secundarios de las plantas medicinales, como los terpenoides (aceites esenciales) y los flavonoides, son eficaces contra las bacterias patógenas, incluso a bajas concentraciones (Bouhdid et al., 2008). En general, los compuestos biológicos generalmente se dirigen al sistema bacteriano a través de tres formas diferentes: evita que las moléculas de señalización se sinteticen, degrada o modifica las moléculas de señalización y/o se dirige al receptor de señal (Koh et al., 2013, Chan et al., 2011). Es por eso, durante este siglo se ha estudiado mucho el impacto de los extractos de plantas, especialmente los aceites esenciales, en el QS y su implicación en la proliferación de patógenos. Por lo tanto, autores como Burt et al. (2014) exploraron la capacidad del carvacrol para prevenir la proliferación y el desarrollo de biopelículas de Chromobacterium violaceum ATCC 12472, Salmonella enterica subsp. Typhimurium DT104, Staphylococcus aureus 0074 y Pseudomonas aeruginosa, como patógenos importantes en la salud humana. En esa publicación, demostraron que el carvacrol mostró una funcionalidad preventiva contra todos ellos, excepto Pseudomonas aeruginosa (Figura 2). Este efecto inhibidor del carvacrol se observó a concentraciones sub-letales (0,5 mM), donde no se observó ningún efecto sobre el número total de bacterias, lo que indica que el efecto bactericida del carvacrol no estaba causando la inhibición observada de la formación de biopelículas. Dado que el QS es una parte esencial de la formación de biopelículas, también se estudió el efecto del carvacrol en el QS. En esta línea, las concentraciones Sub-MIC de carvacrol redujeron la expresión de cviI (un gen que codifica la N-acil-L-homoserina lactona sintasa), la producción de violaceína (pigmentación) y la actividad quitinasa (ambas reguladas por el QS) a concentraciones que coinciden con efecto inhibidor de carvacrol sobre la formación de biopelículas. Estos resultados indican que la actividad del carvacrol en la inhibición de la formación de biopelículas puede estar relacionada con la interrupción del QS.

Click aquí para ampliar la imagen Figura 2: Carvacrol reduce la formación de biopelículas por C. violaceum, S. Typhimurium y S. aureus pero no por P. aeruginosa. Porcentaje de formación de biopelícula medida como OD (590 nm) después de la tinción con violeta cristalino después de 24 h de incubación en presencia o ausencia de carvacrol (0-0,8 log ufc/ml) (barras, eje izquierdo) en comparación con el recuento de colonias (log ufc/ml) del mismo muestras (puntos conectados, eje derecho) (Burt et al., 2014).Por otro lado, las mezclas de aceites esenciales, como carvacrol, timol y cinamaldehído, tienen propiedades antimicrobianas selectivas (Lee et al., 2002; Guo et al., 2004). En consecuencia, su uso a una dosis óptima, también además de afectar el QS, ha demostrado tener eficacia para reducir la colonización y proliferación de Clostridium perfringens y controlar la infección por coccidios y, en consecuencia, pueden ayudar a reducir la enteritis necrótica (Guo et al., 2004; Mitsch et al., 2004; Oviedo-Rondón et al., 2005, 2006, 2010), garantizan el éxito con su uso en una producción avícola sostenible (Choct, 2009; Smith, 2011). En la misma línea, Trevisan et al. (2018) también demostraron una alta sensibilidad de Salmonella Typhimurium a la inclusión de Carvacrol, con un MIC de 312 g mL-1.
Finalmente, la interferencia de estos compuestos en el QS y su potencial antimicrobiano directo, permiten aumentar la efectividad de los antimicrobianos sintéticos, cuando se combinan con aceites esenciales. Por lo tanto, Backman et al. (2011) confirmaron el cinamaldehído y su impacto en el metabolismo de Vibrio angillarum, reduciendo drásticamente la actividad de la proteasa (Figura 3) y lo vinculó con una mejora en la efectividad del cloranfenicol y la doxiciclina, cuando se combinan (Figura 4). Permitiendo un mayor control de bacterias y reduciendo la dosis de antimicrobianos requerida para completar el control.
Figura 3: Efecto de cinamaldehído y derivados de cinamaldehído sobre la actividad proteasa de Vibrio anguillarum LMG 4411. El cinamaldehído y los derivados de cinamaldehído se analizaron a 100 μM, excepto 4-NO2-cinamaldehído (25 μM)
Figura 4: Efecto del cinamaldehído sobre la susceptibilidad a los antibióticos de Vibrio vulnificus LMG 16867 Los efectos del cloranfenicol (cuadrados) y la doxiciclina (triángulos) sobre el crecimiento de Vibrio vulnificus LMG16867 en presencia (símbolos abiertos) y ausencia (símbolos sólidos) de cinamaldehído (100 μM) son presentado. (Backman et al., 2011)
Mejora del rendimiento en pollos de engorde
El efecto de Emerald (combinación de aceites esenciales, a base de carvacrol, cinamaldehído, timol y eugenol) como promotor del crecimiento natural, se estudió en una granja de pollos de engorde comercial de la India. El objetivo de este estudio fue evaluar los efectos de la dieta en el rendimiento del crecimiento, la mortalidad y el tiempo de alcanzar el peso al sacrifico, en la producción comercial de pollos de engorde.
Figura 5: Efectos de la adición dietética de EMERALD sobre el crecimiento de los pollos de engorde.De acuerdo con la Figura 5, la adición de 150 g/ton Emerald a la dieta resultó en ganancias de peso corporal significativamente mayores (60.6 vs 57.0 g/d, P < 0.01) y un mejor IC en comparación con el grupo control (P < 0.05). También es relevante que EMERALD a 100 g/ton reduzca estadísticamente el IC en comparación con el grupo de control. Esta mejora en el rendimiento podría estar relacionada con una mejora en la salud gastrointestinal y la estabilidad del microbioma (Figura 6), donde la inclusión de Emerald redujo significativamente el contenido de E. coli (P < 0.001) mientras que no afecta la prevalencia de bacterias acidolacticas.
Figura 6: Efectos de la adición dietética de EMERALD sobre los números de E. coli y LAB en el contenido intestinal de los pollos de engorde.
Como conclusión, la estabilidad gastrointestinal es clave para maximizar el rendimiento y la salud de los animales. En esta línea, el control microbiano producido por la inclusión de aceites esenciales en los alimentos, mediante la inhibición del quorum sensing, puede ser útil como potenciador del rendimiento del crecimiento y la estabilización de la microbiota, al reducir la prevalencia de patógenos; con un efecto positivo en la mortalidad y el beneficio global.