Explorar

Anunciar en Engormix

Enfoque holístico de tres pasos para mejorar la salud intestinal en los animales: Parte III

Publicado: 14 de febrero de 2022
Fuente: Adisseo
Como se describe en las Partes I y II, una buena salud intestinal comienza con alimentos seguros y de calidad, con controles contra el deterioro microbiano y oxidativo. Esto incluye inhibir el crecimiento de hongos durante el almacenamiento, eliminar patógenos como Salmonella en el alimento y el agua, prevenir el deterioro oxidativo en materias primas y alimentos ricos en grasas, mitigar los riesgos de contaminación por micotoxinas, especialmente aquellas que son dañinas para el funcionamiento de las toxinas intestinales, como la T-2 toxina y deoxinivalenol, durante todo el ciclo de producción de alimentos. Además, una nutrición con un equilibrio entre nutrientes digeribles e indigeribles puede ayudar a los animales a mejorar la salud intestinal al influir positivamente en la microbiota, gracias al poder prebiótico de la acción de enzimas exógenas, promoviendo un aumento de la población de bacterias beneficiosas en la microbiota, disminuyendo la inflamación intestinal y favoreciendo la producción de ácidos grasos de cadena corta en el ciego, especialmente los ácidos acético y butírico.
Además de los factores básicos mencionados, la salud intestinal puede potenciarse aún más con varios otros aditivos alimentarios, como probióticos, butirato de liberación de precisión, fitogénicos, aceites esenciales, etc. Hoy, con el progreso de la era post-APC (antibióticos promotores del crecimiento, ahora llamados antibióticos potenciadores del rendimiento) y los desafíos de enfermedades más graves, es de suma importancia aplicar estrategias nutricionales que promuevan un intestino más saludable y un estado de salud y buen estado inmunológico, además de buenas prácticas de manejo en producción.
En este artículo, como paso 3 del programa de salud intestinal holística de Adisseo, explicaremos cómo mantener aún más la resiliencia animal actuando sobre las tres líneas de defensa: microbiota más beneficiosa, mejor funcionamiento de la barrera mucosa y control de la inflamación intestinal que a su vez resulta en mejor rendimiento animal y rentabilidad para los productores.
Primera línea de defensa: equilibrio de metabolitos y microbiota
Demostramos en la Parte II que un complejo multienzimático, como Rovabio® Advance, puede alterar significativamente la composición de la microbiota en el ciego, favoreciendo la población de bacterias beneficiosas. Por otro lado, un probiótico con actividad probada en el intestino después de la germinación también puede influir en la población bacteriana a través de la producción de una serie de metabolitos.
Alterion®, el probiótico a base de Bacillussubtilis de Adisseo, es el único probiótico disponible en el mercado en el que se ha demostrado y visualizado la germinación en el interior de las aves. Para verificar la germinación en condiciones in vivo, los pollos de engorde fueron alimentados con una dieta control o con una dieta agregada con esporas Alterion® con doble etiquetado. Las muestras del contenido ileal se analizaron y procesaron mediante InCellAnalyzer para verificar la fluorescencia inducida por la etiqueta. El color rojo, predominante en el grupo con Alterion®, indica que la mayoría de las esporas germinaron (Figura 1).
Figura 1 - Germinación de Alterion® in vivo en el íleon, visualizada usando dsRed.
Enfoque holístico de tres pasos para mejorar la salud intestinal en los animales: Parte 3 - Image 1
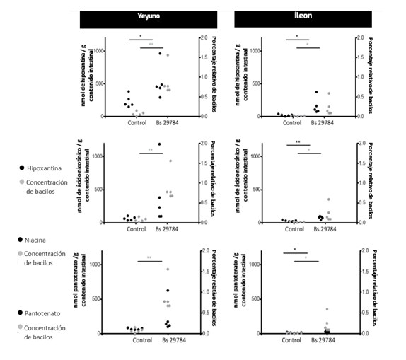
A la germinación le sigue la producción de diferentes metabolitos, lo que demuestra la activación de Alterion®. Por ejemplo, en un experimento in vitro, ya se ha demostrado la producción de cantidades consistentes y elevadas de tres metabolitos (niacina, pantotenato, hipoxantina) .Luego se midió la concentración de estos metabolitos en el contenido digestivo de las aves que recibieron Alterion®, comprobando que la concentración de estos metabolitos estaba fuertemente relacionada con la cantidad de Bacilos detectados (Figura 2).
Figura 2 - Porcentaje relativo de Bacillusspp. y concentración de metabolitos (nmol / g de heces) para aves suplementadas con Alterion® (Bs 29784) versus aves control.
Además, en un ensayo de 42 días con pollos de engorde realizado en SouthernPoultryResearchInc (Athens, GA, EE. UU.) En colaboración con el Dr. Greg Mathis, se observaron cinco géneros (de 116) en el ciego (Figura 3) en concentración relativa significativamente superior en el grupo Alterion®, principalmente del filo Firmicutes, incluido Ruminococcus. Se sabe que estas bacterias descomponen los polisacáridos en oligosacáridos, lo que ayuda en la digestión de cereales y proteínas vegetales en la dieta de las aves.
Figura 3 - Efecto de Alterion® sobre la abundancia de diferentes grupos taxonómicos de la microbiota intestinal - a partir de muestras cecales de pollos de engorde de 42 días.
También se observó el aumento en la abundancia relativa de Lachnoclostridium. Estas bacterias degradan los oligosacáridos y producen ácidos grasos de cadena corta (AGCC) - butirato. Ya se sabe que, como metabolito microbiano muy importante, el butirato representa la principal fuente de energía para los enterocitos, las células de la pared intestinal y, al mismo tiempo, un compuesto antiinflamatorio muy potente. De especial importancia, cuando el butirato se libera con precisión en el intestino grueso, puede desencadenar la secreción de péptidos de defensa antimicrobianos, las llamadas defensinas, que son responsables de ayudar a reducir la inflamación y también actúan para inhibir los genes tipo 1 de la Patogenicidad de Salmonella (SPI1), que son necesarios para la colonización e invasión de este patógeno en el hospedador.
La reducción de la carga de Salmonella en los productos animales finales es una preocupación que va más allá de los productos inhibidores de Salmonella como Salmo-Nil® y Evacide® S, que actúan directamente en el alimento y el agua potable. El Adimix® Precision es otro pilar importante para completar el programa, aumentando las concentraciones de butirato en el intestino superior, medio y especialmente en el intestino grueso. Gracias a su tecnología de entrega precisa, en comparación con otros productos de butirato, su desempeño superior ha sido probado incluso en experimentos que evaluaron la infección por Salmonella en aves (van Immerseel et al., 2005; Onrust et al., 2020) y en cerdos (Walia et al., 2016; Lynch et al., 2017).
Segunda línea de defensa: mejor integridad de la barrera intestinal
La integridad y fortaleza de la barrera intestinal es fundamental para la absorción eficiente de nutrientes, la estimulación del sistema inmunológico innato y la prevención de la entrada de patógenos y toxinas al torrente sanguíneo, contribuyendo así a la salud y mejor desempeño de las aves.
En el mismo estudio informado anteriormente, también se observaron microvellosidades intestinales significativamente más largas (+ 18% de aumento de longitud en el íleon y + 17% en el ciego) en el grupo alimentado con Alterion®, lo que sugiere su impacto positivo en la morfología intestinal. Además, la influencia directa de Alterion® en la integridad de la barrera intestinal se demostró mediante un modelo in vitro (células monocapa Caco-2 en TranswellSystem) utilizando una técnica de resistencia eléctrica transepitelial (TEER, voltaje eléctrico entre los lados apical y basolateral). Cuanto mayor sea el TEER, mejor será la integridad. Cuando se introdujo una citocina proinflamatoria (TNF-α), como se esperaba, la TEER disminuyó y el flujo de D-manitol aumentó, lo que sugiere que la integridad de la barrera estaba comprometida. Alterion® pudo restaurar ambos parámetros a niveles similares a los de las células no estimuladas (Figura 4). Otra evidencia in vitro explicó la mejora en TEER por Alterion®, por el aumento de la expresión de proteínas de unión estrecha: ZO-1, claudina-1 y ocludina (Rhayat et al., 2017).
Figura 4 - Mediciones de flujo de TEER y D-manitol
Tercera línea de defensa: reducción de la inflamación intestinal
Las respuestas inflamatorias gastan una cantidad significativa de energía, que debe usarse para el crecimiento animal. A medida que la industria se está alejando de las APC debido a las preocupaciones sobre la resistencia a los antibióticos, es necesario proponer soluciones alternativas y la capacidad antiinflamatoria es uno de los principales factores de investigación.
El mismo modelo in vitro (células Caco-2) se puede utilizar para comparar el efecto antiinflamatorio directo de los productos probióticos comerciales, en comparación con el galato de epigalocatequina (EGCG) conocido como un fuerte compuesto antiinflamatorio. Al exponer las células Caco-2 a la interleucina 1 beta (IL-1 beta), la micotoxina deoxinivalenol (DON) y la flagelina (Fla), se midió la producción de interleucina 8 (IL-8) como un marcador de inflamación aguda.
Curiosamente, dos probióticos comerciales, identificados por las abreviaturas Bs A y Bs B, exacerbaron el efecto del DON en la producción de IL-8, lo que implica un daño aún peor del DON en el intestino. Mientras que Alterion® (Bs 29784) redujo con éxito la producción de IL-8 en comparación con el grupo de control, tratado con DON y otras afecciones inflamatorias (Figura 5). Todos estos resultados demuestran aún más la singularidad de la cepa Alterion® Bacillus.
Investigaciones posteriores han revelado el mecanismo de Alterion® en la vía de control de la inflamación: inhibiendo la degradación de IkB, previniendo así la translocación de NF-κB y controlando posteriormente la expresión de compuestos proinflamatorios como IL-8 y la enzima iNOS (Rhayatet al. , 2019).
Figura 5. Efecto de Alterion® (Bs 29784) y otras cepas probióticas comerciales (Bs A y Bs B) sobre la liberación de IL-8 en condiciones estándar y desafiantes
Un buen manejo de la salud intestinal conduce a un futuro más rentable y sostenible
Revisamos todas las estrategias nutricionales clave en el Programa Holístico de Manejo de la Salud Intestinal de 3 Pasos de Adisseo: Alimento limpio y seguro con digestibilidad mejorada utilizando PNE (Evaluación de Nutrición de Precisión) y enzimas exógenas, asociadas con combinaciones de probióticos patentados y butirato de liberación precisa, que promueven la resiliencia de los animales en el campo en las tres líneas de defensa.
En el camino, confiamos en que este enfoque holístico traerá más ganancias a los productores, como costos de alimentación reducidos con una formulación de precisión, proteína animal más segura (carne y huevos) que cumple con requisitos de exportación más estrictos, menor incidencia de pododermatitis, huevos más limpios que contribuyen a una transición a la producción sin jaulas, producción de animales libres de APC y que satisfagan las demandas de los consumidores. Al implementar todas estas estrategias nutricionales junto con buenas prácticas de manejo, la industria de producción animal adoptará un futuro más rentable y sostenible.
Las referencias están disponibles bajo petición.

Información relacionada:
 
Temas relacionados:
Recomendar
Comentar
Compartir
Lourdes Savón
ICA - Instituto de Ciencia Animal- Cuba
ICA - Instituto de Ciencia Animal- Cuba
24 de abril de 2022
Considero que su artículo es muy interesante. Quisiera recibir más información.¿Pudiera ser?. Gracias anticipada.
Recomendar
Responder
Profile picture
¿Quieres comentar sobre otro tema? Crea una nueva publicación para dialogar con expertos de la comunidad.
Usuarios destacados en Avicultura
Fernanda Lima de Souza Castro
Fernanda Lima de Souza Castro
Cargill
Cargill
Gerente de serviços técnicos
Estados Unidos de América
Ana Maria Villegas-Gamble
Ana Maria Villegas-Gamble
Pilgrim´s
DVM, MS, Ph.D. / Directora de Nutrición
Estados Unidos de América
Carolina Hall
Carolina Hall
Trouw Nutrition
Estados Unidos de América