Explorar

Anunciar en Engormix

Bases para la Ecología y Biología de malezas, Capitulo I

Publicado: 21 de marzo de 2014
Fuente: Claudio Benitez Palazzesi, (Ing. Agrónomo, Cátedra de malezas de la Facultad de Ciencias Agrarias de la Univ. Nacional de Rosario) Argentina. Recopilacion de trabajos
¿Qué es un ecosistema?
 
Los ecosistemas son las unidades básicas de la naturaleza sobre la superficie terrestre. En ellas, interaccionan factores bióticos y abióticos en un área geográfica definida. Comprende distintos subsistemas con diferentes niveles jerárquicos. (Tansley. 1935)
 
 
¿Qué es un agroecosistema?
 
Es un ecosistema modificado por el hombre para lograr su objetivo básico, que es la rentabilidad, a partir de la producción de alimentos, aceites, fibras, combustibles, etc. utilizando vegetales y animales. El hombre interactúa con diferentes subsistemas caracterizados por la uniformidad genética en grandes extensiones con condiciones ambientales diferentes a los sistemas naturales. Al tener baja estabilidad, cualquier modificación en alguno de sus componentes puede alterar el estado de homeostasis.
 

¿Qué es una maleza?
 
La mayoría de los autores consideran que el concepto de malezas está asociado, al abandono de la agricultura nómade y al advenimiento de la agricultura moderna, cercana a centros poblados estables y fijos.
 
Se considera maleza, a toda especie vegetal que se desarrolla en un lugar donde no es deseada su presencia, o que interfiere con el cultivo implantando por el hombre.
 
El concepto de malezas, resulta de la actividad propia del hombre, de allí que su concepción resulte de la actividad antrópica. Y por ello, se considera maleza a cualquier especie vegetal que se desarrolla en ambientes preparados para el desarrollo un cultivo.
 
Es el hombre el que califica a una especie vegetal como malezas, de acuerdo al momento y lugar de su emergencia.
 
El concepto de maleza es netamente antropocéntrico y no corresponde a características biológicas específicas de la especie considerada. (Guglielmini. 2003)
 
Las malezas compiten por luz, agua y nutrientes con los cultivos.
 
Desde el punto de vista productivo, las malezas producen mermas importantes en el rendimiento, dificultan la cosecha y reducen la calidad del grano, pero al mismo tiempo 
 
forman parte del agroecosistema, siendo alimento y refugio para insectos y aves.
 
 
¿Toda especie vegetal que se encuentra en el lote es una maleza?
 
La respuesta guarda cierto grado de relatividad, porque como el concepto es netamente antropocéntrico, para un determinado productor cualquier especie vegetal diferente del cultivo, es una maleza, por su sola presencia; para otro productor, no lo es, porque es hospedera de un enemigo natural para Rachiplusia nu. En este último caso, hace una valoración positiva de la presencia de una especie vegetal diferente.
 

¿Por qué recursos compiten cultivos y malezas?
 
Cultivo y malezas compiten por luz, agua y nutrientes. La competencia por estos recursos, 
 
implica la coexistencia de cultivo y malezas en el espacio y el tiempo. Ahora también se produce consumo de agua y nutrientes durante el barbecho. Se puede considerar, en este caso, un tipo de competencia diferida en el tiempo, ya que el agua y nutrientes consumidos por las malezas, no quedan disponibles para el cultivo.
 
Siguiendo con un razonamiento similar al de la definición de maleza, su presencia en barbecho puede ser positiva si se considera que, permiten reducir los niveles de erosión y el incremento de los niveles de carbono del suelo (transforman radiación en materia seca). 
 
 
¿Cuál es el origen de las malezas?
 
Las malezas son especies adaptadas a ambientes caracterizados por continuos disturbios y eliminación de la flora nativa. El disturbio es la condición para la aparición de las malezas.
 
Está aceptado que las malezas se originaron de tres fuentes:
 
a- Especies silvestres colonizadoras que se adaptaron a un ambiente disturbado. 
b- Hibridación de especies silvestres y domesticadas. 
c- A partir de especies cultivadas y seleccionadas en un ambiente con menor intervención del hombre.
 
Las especies silvestres crecen naturalmente en ambientes no disturbados, en una situación opuesta, tanto las malezas como especies cultivadas son exitosas en ambientes disturbados.
 
El hombre, ha intervenido en las especies domesticadas, originadas a partir de especies silvestres, seleccionando aquellas que tengan reducida capacidad de dispersión y reducido nivel de dormición de semillas.
 
Sin embargo, las malezas, conservan sus características diferenciales de dispersión y dormición, las cuales le permiten perpetuarse en los agroecosistemas.
 
La mayoría de las teorías aceptan que las malezas, se originaron de especies silvestres adaptadas a un ambiente de disturbio constante, y se volvieron exitosas como especies malezas en cultivos de escarda.
 
La practica agrícola, resulta ser un mecanismo de selección indirecta de nuevas razas y biotipos, que concluye en un proceso de mimetización entre la especie cultivada y las malezas con la que compite.
 
Esta mimetización es la responsable de la existencia de una similitud morfológica y fisiológica (malezas-cultivo), lo que hace dificultoso el control y manejo de las malezas.
 
 
¿Cuáles son las características diferenciales de las malezas?
 
No es factible agrupar a las malezas por características similares. Sin embargo de la totalidad de las especies vegetales, las malezas de importancia agrícola son alrededor de 250 especies.
 
Una de las características diferenciales de las malezas es su alto nivel de adaptabilidad a un ambiente ecológico determinado.
 
Como ejemplo podemos citar el caso del incremento de las malezas gramíneas, en respuesta, al crecimiento en la superficie sembrada de maíz y el concomitante incremento en el uso de herbicidas latifolicidas.
 
Otro ejemplo, es la reducción en la frecuencia de Datura ferox, en lotes de siembra directa o en labranza reducida en respuesta a la escasa remoción edáfica.
 
Más recientemente, los cultivos transgénicos y la aplicación sistemática y desmedida de glifosato, también generó cambios en la flora, y como consecuencia:
 
- Predominan las naturalmente tolerantes a glifosato. 
- Se produjo un incremento en la frecuencia de los alelos de resistencia. 
- Se incremento la supervivencia de las malezas que presentan mecanismos de adaptación ecológica que les permiten subsistir en tales ambientes.
 
Murphy (et al. 2006) demostró que en siembra directa, el número de especies es mayor comparado con un sistema en el que se produce remoción de suelo. Lo que podía considerarse como una medida de mayor biodiversidad. Posteriormente, Legere en el año 2005, corrobora lo publicado por Murphy, demostrando que el banco de semillas de un sistema convencional presentaba menor número de especies. 
 
En el año 2001, Tuesca y colaboradores, reportaron la existencia cambios importantes en la comunidad de malezas, producto del no laboreo, produciéndose un incremento substancial en la presencia de las gramíneas anuales. 
 
Finalmente, concluye Guglielmini en el año 2003, que para que una maleza sea exitosa, no solo se requiere de la condición de disturbio, sino también de la adaptabilidad de las mismas a diferentes sistemas mediante distintas propiedades ecofisiológicas.
 
 
La dispersión de las malezas como condición de éxito.
 
Una característica ecológica importante de una maleza, es el mecanismo de dispersión y supervivencia en el suelo. Ya que está asociada fundamentalmente a la persistencia y éxito en los agroecosistemas.
 
Básicamente, el éxito de una plántula dependerá de su capacidad de establecimiento y crecimiento, a su vez, esta depende de su habilidad competitiva, y de la tolerancia o resistencia a herbicidas. Las que lleguen a la adultez, producirán una potencial cantidad de semillas, que está determinada por la fecundidad.
 
Si tratamos de entender la dinámica de expansión de un manchón de malezas, vamos a concluir que el factor de incidencia, es la capacidad de dispersión tanto por estructuras vegetativas como reproductivas.
 
La dispersión es clasificada en: dispersión primaria, que es la producida por medios naturales y en dispersión secundaria, es la que se produce por la labranza o la cosecha.
 
Dentro de los aspectos favorables de la dispersión para las malezas vemos que:
 
- Reduce la mortalidad por competencia intraespecifica, al evitar que grandes cantidades de simiente, queden en las proximidades de la planta madre. 
- Permite colonizar nuevas aéreas.
 
La distancia que alcanzan las semillas, depende de una serie de factores tales:
 
- Altura y distancia de la fuente de semillas.
- Cantidad de semillas.
- Habilidad y características de las semillas.
- Actividad de los agentes de dispersión.
 
Podemos clasificar en forma somera los tipos de dispersión de la siguiente manera:
 
- Primaria o autocoria: en la cual no interviene factores que faciliten la dispersión, las semillas no poseen dispositivo para favorecer la dispersión. 
- Secundaria: el desplazamiento se produce por la intervención de agente externos. 
 
a- Anemócora; cuando son transportados por el viento.
b- Hidrocora; cuando son transportados por el agua.
c- Zoocora, cuando son transportados por animales.
d- Antropocora; cuando son transportados por actividades realizadas por el hombre.
 
¿Cuáles son las consecuencias negativas de la presencia de las malezas en los agroecosistemas?
 
• Reducen el rendimiento de los cultivos.
• Reducen la calidad del grano cosechado.
• Aumentan los costos de producción.
• Reducen la receptividad de los campos destinados a pastoreo.
• Inducen toxicidad en animales y personas.
• Desvalorizan lotes.
• Dificultan el tránsito por redes viales.
• Hospederas de plagas y enfermedades.
• Consumen agua y nutrientes del suelo.
 
Cuáles son los efectos positivos de las malezas?
 
• Son hospederas de enemigos naturales que requieren de especies espontaneas.
• Son fuente de genes y biodiversidad.
• Incrementan la productividad neta, por fijación de CO2.
• Reducen los riesgos de erosión en suelos cubiertos.
 
La producción agropecuaria solo es factible si llevamos el estado de clímax, es decir, estados sucesionales avanzados y estables (con productividad neta igual a cero) a estados sucesionales iníciales, con alto nivel de disturbio, donde la productividad > 0, lo que implica la extracción de materia seca o grano.
 
Es ese estado de disturbio, (con productividad > 0) el ambiente óptimo para el desarrollo de las malezas, por ende, la coexistencia del cultivo y las malezas es prácticamente inevitable.
 
Una estrategia ideal para el manejo de las malezas, es la erradicación de las mismas, pero por lo explicado anteriormente resulta una misión complicada, por las características ecológicas propias que las malezas poseen (banco de semillas, semillas con diferente grado de dormición, reproducción vegetativa, mimetización con el cultivo).
 
De esta manera la estrategia de contención y reducción a mediano y largo plazo, es la más acertada.
 
La WSSA ha establecido una serie de prioridades, definiendo las líneas de investigación, ellas son:
 
• Ecología y biología de malezas.
• Manejo de las malezas.
• Resistencia a herbicidas.
• Biotecnología.
• Aprovechamiento de malezas.
• Desarrollo de modelos de optimización en el control. 
 

¿Qué es la dinámica poblacional de una maleza?
 
Durante muchos años, los esfuerzos en investigación y desarrollo se han centralizado en la obtención de productos químicos selectivos y eficaces (herbicidas).
 
Históricamente, las malezas fueron eliminadas de los lotes, porque su sola presencia, altera, el patrón armónico de desarrollo de un cultivo. En etapas primarias de la historia agrícola, se eliminaban manualmente, con el desarrollo de la mecanización agrícola, se eliminaban en forma mecánica y actualmente, se eliminan en forma química. 
 
Haciendo un poco de historia, el control químico presenta su época dorada entre los años 1950 y 1980. En la primera etapa, a inicios de la década del 50 aparecen los herbicidas hormonales, los cuales fueron usados para el control selectivo de malezas latifoliadas en trigo y maíz. Cabe aclarar que el uso de los mismos se realizo sin tener en cuenta ningún estudio de la ecología o biología de las malezas a tratar.
 
Ya durante la década del 80 aparecen las sulfonilureas, que permiten control selectivo de latifoliadas y monocotiledoneas en soja y trigo. Como así también, la aparición de las GSPE (Graminicidas Selectivos Post Emergentes), que permiten el control selectivo de malezas gramíneas en trigo y maíz.
 
Los herbicidas, son fundamentales en la simplificación del control de malezas, permiten la incorporación de lotes invadidos, haciendo factible la producción en ellos. Reducen costos de producción, particularmente con el advenimiento de herbicidas residuales los cuales posibilitan el control de la emergencia de las malezas en una ventana amplia de tiempo. 
 
Pero la consecuencia negativa del uso inapropiado de herbicidas; y la desestimación del comportamiento biológico de la malezas a controlar, fue la aparición de weed shift (selección hacia especies naturalmente tolerantes al herbicida usado en forma sistemática) y la aparición de resistencia a herbicidas, en respuesta a la selección hacia especies que presentan frecuencias alélicas bajas de resistencia.
 
Otro aspecto importante a considerar, son las externalidades negativas, la contaminación ambiental, y el riesgo a la salud humana.
 
Evidentemente las consecuencias negativas, no consideradas en etapas anteriores, lleva a un cambio de paradigma, dejando de lado la utópica creencia, basada en la teoría que con los herbicidas se logra el control de las malezas a corto plazo y se logra la erradicación del problema, y se acepta, que los criterios conducentes de éxito son el manejo de las malezas, 
 
solo factibles con la aplicación de una serie de tácticas a largo plazo, y que para ello se debe tener un profundo conocimiento de las interacciones ecológicas, biológicas y económicas de las malezas con el cultivo. (Rouchs. 1990)
 
 
¿Cómo definimos al manejo integrado de las malezas?
 
Es la integración del conocimiento de la biología de la adversidad en el sistema de cultivo.
 
Definimos Manejo de las malezas como al conjunto de prácticas agronómicas, que incluyen control cultural, mecánico, biológico y químico, que permiten maximizar los rendimientos y mantener las densidades de malezas por debajo de los umbrales de daño económico.
 
El manejo, es a largo plazo, se actúa en la fecundidad, la emergencia y la capacidad competitiva, para lograr la reducción paulatina de la población de las malezas problema. 
 
Todas las tácticas aplicadas, son compatibles con el manejo sustentable de todos los recursos participantes.
 
 
¿Cuál es la importancia del estudio de la dinámica poblacional?
 
Si la meta propuesta es diseñar estrategias de manejo exitosas, es necesario realizar estudios ecológicos para entender las razones de la persistencia de las malezas en los agroecosistemas. 
 
Scursoni, aplica el concepto de manejo de poblaciones de malezas y relega a un segundo plano la concepción tradicional de la aplicación de prácticas de control.
 
Conocer la dinámica poblacional de una maleza permite:
 
• Entender los procesos agronómicos que intervienen en la evolución de la población. 
• Saber cómo actuar en cada proceso, identificando cuales son los críticos, que regulan el ritmo de crecimiento poblacional.
 
 
¿Qué es el estudio de la dinámica poblacional a largo plazo?
 
Consisten en el estudio de algún parámetro demográfico a lo largo del tiempo, como por 
 
ejemplo, el número de semillas por metro cuadrado. Son experimentos sencillos de conducir, en el cual se analiza el efecto del ambiente y de los factores bióticos y la interacción entre ambos sobre la maleza.
 
Sin embargo, es importante hacer notar, que como no individualizamos los efectos de cada práctica aplicada sobre cada proceso demográfico, tienen utilidad como modelos descriptivos pero no como modelos predictivos. Pero son de utilidad, cuando lo que se quiere es, validar modelos de simulación para evaluar estrategias de manejo a largo plazo. (Fernández 
Quintanilla. 1998).
 
Una población puede crecer, decrecer o mantenerse estable en el tiempo. 
 
La tasa porcentual de crecimiento de una maleza se expresa como Donde Nt  y No son los tamaños poblacionales al comienzo y al final del tiempo t.
 
Podemos citar el caso de Avena sterilis, cuya tasa de crecimiento en competencia con trigo, en ausencia de control es del 34% anual.
 
 
¿Que se necesita para realizar un estudio demográfico?
 
Básicamente se requiere conocer cada proceso demográfico y la tasa con la que esos procesos se producen. Para ello se identifican, cada una de las etapas de vida de una maleza.
 
A lo largo del ciclo de desarrollo de una maleza, suceden diferentes estados demográficos.
 
• Semilla = definidas por la semillas presentes en el suelo. Banco de semillas. 
• Plántulas emergidas = proporción de semillas que han germinado y se han instalado. 
• Plantas adultas con semillas = proporción de plantas que han llegado a estado reproductivo. 
• Semillas producidas por planta = fecundidad de la especie.
 
El pasaje de un estado demográfico a otro, está regulado por los procesos demográficos. El resumen de la secuencia de estados y procesos queda diagramado en la tabla de vida de una especie maleza.
 
Cada proceso ocurre a una determinada tasa, esta última está definida, como la proporción de individuos que pasan de un estado a otro. Los estudios demográficos tienen la finalidad de explicar la evolución de una población de malezas en el tiempo, identificando y cuantificando la tasa a la que ocurren los diferentes procesos demográficos. En el estudio se aíslan los procesos críticos para el crecimiento o mantenimiento de una población.
 
 
¿Cuáles son los estados y procesos demográficos?
 
Semillas en el banco:
 
El ingreso de semillas en el banco lo representa en forma única la lluvia de semillas producida por la planta madre.
 
Las salidas de semillas del banco dependen de tres factores: 
 
• Germinación.
• Viabilidad.
• Depredación.
 
La proporción en la que varían el número final de semillas en el banco, depende a su vez de la:
 
• Especie.
• Fecundidad.
• Ubicación de las semillas en el suelo.
• Rastrojo.
• Tipo de suelo.
• Tiempo de permanencia.
• Fauna del suelo, mamíferos y aves.
• Estado fisiológico de las semillas.
• Ambiente.
 
Estos factores son los que determinan la variación en el número de semillas en el banco. 
 
Ahora, la forma en la que las semillas salen del banco, es otro factor a analizar, la depredación es un factor positivo, la germinación es un factor considerado negativo, más si esa planta en estado adulto, genera semillas que retornan al banco.
 
Analicemos el caso de la depredación y pérdida de viabilidad
 
• En general la fauna que actúa en la depredación son pequeños mamíferos, lombrices, insecto y pájaros. La presencia de hongos patógenos de semillas provocan pérdida de viabilidad. Justamente son las condiciones climáticas, las responsables de las mayores pérdidas, un ejemplo es Avena sp, el 85% de las pérdidas de viabilidad se producen en otoño.  
• Cada insecto, tiene un comportamiento diferencial con respecto al tipo de semilla. 
• Las semillas de Lolium rigidum, presentan una tasa de depredación superior a las de Avena sterilis debido al menor tamaño de las primeras. 
• Semillas que son trasladadas de un lugar a otro, o sufren un proceso de ataque por insectos, presentan menor dormición. 
 
La dinámica del banco de semillas está afectada por el nivel de dormición de la semilla. Se define la dormición como el estado fisiológico de una semilla, en la cual la germinación no se produce aun cuando se le entreguen todas las condiciones para que esta ocurra (oxigeno, agua y temperatura)
 
Con respecto a la dormición, hay un aspecto a tener en cuenta, en aquellas especies que presentan un banco de semillas persistente, la dormición actúa positivamente manteniendo una proporción de individuos sensibles, lo que retrasa la aparición de resistencia a herbicidas.
 
Ahora analicemos el caso de la germinación
 
Es sabido que el proceso germinativo comienza con la imbibición y culmina con la aparición de la radícula. La dormición, determina que aun cuando alguno de los procesos se concrete, la germinación no se haga efectiva. La limitación que genera la dormición se demuestra a nivel poblacional. La dormición es un fenómeno cuantitativo más que cualitativo, dentro de un rango más o menos amplio dentro los cuales la germinación ocurre.
 
 
¿Qué es el efecto materno?
 
El termino efecto materno, es empleado, para considerar las condiciones ambientales reinantes, durante el periodo de tiempo en el que las semillas maduran en la planta madre, y su relación con el nivel de dormición que las mismas poseen.
 
• Analicemos el caso en el que la temperatura ambiental es alta. En este caso, el nivel de dormición se reduce, siempre y cuando, la dormición dependa de inhibidores de la germinación. Caso contrario, cuando la dormición dependa de tegumentos, la dormición se incrementa. 
• Si el nivel de humedad ambiental es bajo, o existe stress hídrico, se reduce el nivel de dormición para aquellas semillas que poseen dormición dependiente de inhibidores de la germinación, y se incrementa, en el caso de que la misma dependa de tegumentos. 
• Con respecto a la condición luminosa, el sombreado (baja relación rojo/rojo lejano) incrementa el grado de dormición. Las condiciones de alta irradiación, (alta relación rojo/rojo lejano) promueve la germinación al transformarse el filocrono del estado Pr a Pfr. 
 
Los factores que actúan en la dormición se clasifican en tres grupos:
 
• Que disminuyen la dormición: reducen el grado de dormición de población (temperatura y agua) 
• Que terminan la dormición: superan la dormición (luz y alternancia térmica) 
• Que induce la dormición: temperatura.
 
¿Cómo se establecen y crecen las plántulas?
 
En el banco de semillas, hay pocas especies dominantes, es relativamente homogéneo y equilibrado. Con respecto a las plántulas que logran instalarse, estas en general provienen de los estratos superficiales del banco.
 
Durante varios años, se condujeron estudios relacionados a la variación en el establecimiento de las plántulas de acuerdo al tipo de labranza. Por ejemplo se determinó que raigrás en Siembra Directa (SD) tiene mayor presencia, comparado con Siembra Convencional (SC) debido a la menor exposición a la desecación y depredación, que poseen las semillas en el primer sistema. Al analizar el caso de cerraja (Sonchus oleraseus), esta encuentra en SD, un ambiente favorable para su desarrollo, al ser el aquenio con hilano, una semilla pequeña, pudiendo ser retenido por el rastrojo, sorteándolo y alcanzando el suelo.
 
Como regla general, las semillas pequeñas con requerimientos lumínicos resultan favorecidas al encontrarse en estratos superficiales. Las semillas grandes, tienen la ventaja de poder emerger desde estratos más profundos.
 
Otros estudios, han determinado una longevidad diferencial entre gramíneas y latifoliadas, siendo las gramíneas menos longevas en general, que las latifoliadas.
 
¿Que son los patrones de emergencia de las malezas?
 
Se los definen como las generaciones discretas de aparición de plántulas a lo largo del tiempo. 
 
Es muy importante la determinación de estos patrones de emergencia, para la determinación de la existencia de competencia directa con el cultivo y la elección de tratamientos herbicidas eficientes.
 
Es así, que de todas las cohortes, las que resultan preocupantes, son las cohortes tardías, porque escapan a los efectos de los herbicidas y generan importantes aportes de semillas al banco. Las cohortes tempranas son en general controladas efectivamente, pero hay que tener 
 
en cuenta que cualquier falla en el método de control, expone al cultivo a una competencia directa con la maleza en cuestión.
 
Supervivencia de las plántulas. ¿De qué depende?
 
La supervivencia de las plántulas, puede o no depender de la densidad de individuos presentes. Este concepto errático, está relacionado, a la efectividad relativa de los herbicidas.
 
La mortalidad que genera un herbicida en una población de malezas, depende de tres factores:
 
• Dosis del herbicida. 
• Estado de desarrollo de la planta. Asociada al momento de mayor susceptibilidad. 
• Condiciones climática.
 
Pero, en alta densidad, existen diferentes jerarquías de individuos, encontraremos individuos, en un estado de desarrollo en el cual, la maleza presenta máxima susceptibilidad; y otras malezas, se encontraran en un estado de desarrollo, donde la susceptibilidad es minina o no existe. 
 
Otra situación, que también se analiza, es el caso de malezas, que por su estado de desarrollo, presentan una capacidad diferencial de intercepción del principio activo.
 
Es así que debemos ordenar cuales son las razones del escape de las malezas a los herbicidas:
 
• Tamaño poblacional: cuando la densidad de malezas es alta, se incrementa la probabilidad de que determinados individuos escapen al tratamiento herbicida. 
• Momento de emergencia: aquellas malezas que presentan emergencia tardía o largo periodo de emergencia, tienen mayores probabilidades de escape. 
• Efecto protector del cultivo: en emergencia tardía, el cultivo ejerce un efecto protector sobre la maleza, al impedir el acceso del principio activo a la misma. 
• Relación de estado de susceptibilidad: es la relación entre las malezas, que se encuentran en el estado de mayor susceptibilidad al total de malezas presentes. 
• Condiciones ambientales pre y post aplicación: cualquier stress que afecte a las malezas antes o después de la aplicación de herbicida, genera una reducción, en la traslocación del principio activo al sitio de acción. 
• Tolerancia y resistencia: cualquiera de estos factores, reduce la eficacia de control de los herbicidas.
 
¿Qué se entiende con fecundidad?
 
Fecundidad es un término que define la capacidad que posee una planta de producir semillas. 
 
La fecundidad, como tal, es un fenómeno directamente proporcional a la biomasa aérea total acumulada por la planta (BAT). De esta manera cualquier factor que afecte la producción de materia seca, repercutirá en la producción de semillas.
 
La densodependencia, está asociada a la fecundidad, ya que cuanto mayor el tamaño de la planta, por menor competencia, mayor el número de semillas producidas por plantas, es decir mayor fecundidad.
 
En forma somera, los factores que están relacionados con la fecundidad son:
 
• Competencia intraespecifica y interespecifica.
• Momento de emergencia.
• Herbivoria.
• Enfermedades.
• Condiciones ambientales. (reducciones importantes en la temperatura en el momento de maduración de semillas, reducen el numero de semillas en avena negra) 
• Efecto de los herbicidas, reducen el número de semillas producidas por planta, sin embargo se producen determinadas alteraciones fisiológicas en las semillas que se explicaran más adelante.
 
Perdidas de semillas en la planta madre. Dispersión.
 
Como se explico con anterioridad, las mayores pérdidas de semillas, se deben a la depredación, patógenos y cosecha. Es justamente la dispersión realizada por la cosechadora, la responsable de la persistencia y dispersión de manchones de malezas en el lote. En experimentos realizados, se concluyo que, aun cuando se cumplen condiciones de alto control (99%), el efecto de la cosechadora, permite la dispersión de manchones y el incremento de semillas en el banco (Modelo de Datura ferox).
 
¿Cuál es el efecto de la competencia de las malezas con el cultivo?
 
Cualquier incremento en la densidad de siembra del cultivo respecto a la densidad recomendada, produce reducciones en el número de semillas presentes en el banco, por reducción de los aportes.
 
Esta reducción de los aportes se debe:
 
• Reducción de la tasa de supervivencia de las plántulas 
• Reducción en la producción de semillas por reducción de materia seca por planta. 
 
Otro factor para analizar en la competencia cultivo-maleza, es la modificación del ambiente lumínico, el sombreado del cultivo reduce la relación rojo/rojo lejano, como consecuencia se produce un alargamiento de los entrenudos de las malezas, por lo que las semillas de estas maduran en ambientes más luminosos, por ende, aumenta la tasa de maduración y la retención de semillas en la planta madre hasta la cosecha.
 
Para los casos de sorgo, capín y quínoa, la tasa de depredación es dependiente de la cantidad de semillas en el banco. A mayor densidad de semillas, proporcional mayor tasa de depredación.
 
Cuando se considera el efecto negativo de los herbicidas sobre la fecundidad (reducción en la biomasa aérea total), existe otro aspecto a tener en cuenta, que son los cambios fisiológicos que se producen en las semillas, lo que genera un incremento en la retención de la semillas en la planta madre, hasta el momento de la cosecha.
 
Con respecto a los estudios realizados sobre fertilización de cultivos y su efecto indirecto sobre las malezas, se ha determinado que la fertilización nitrogenada a macollaje, provoca un incremento en la supervivencia y fecundidad de Avena fatua.
 
¿Que son los estudios mecaminísticos?
 
Al estudiar la demografía de una maleza, intentamos determinar cuáles son los procesos críticos, sobre los que podemos actuar, para afectar negativamente su dinámica poblacional.
 
Sin embargo, para encontrar los procesos críticos, es fundamental establecer las relaciones funcionales entre los procesos demográficos y los factores ambientales, que permiten construir modelos predictivos.
 
Por ejemplo, para predecir el número de plántulas emergidas, se estiman el porcentaje de semillas que superan la dormición y germinan.
 
Una aplicación gratuita de software denominada WeedCast, permite, por medio de la incorporación de tres sencillos datos; Tº Max; Tº Min y Precipitaciones acumuladas, estimar el porcentaje de germinación, de manera que, cuando se alcance el 100 % de germinación, se pueden aplicar tratamientos herbicidas postemergente de máxima eficacia. 
 
Otros modelos de utilidad descriptos son:
 
• Modelo de GD sorgo desarrollado por Satorre. 
• Modelo de Cynodon dactylon. 
• Modelo de los filocronos para Conyza bonariensis desarrollado por E. Leguizamón.
 
Estos modelos permiten optimizar el manejo de la maleza en cuestión, aplicando en forma oportuna la medida de control efectiva seleccionada.
 
¿Que son las relaciones poblacionales?
 
Después de producida la germinación, la plántula requiere de luz, agua y nutrientes del medio para poder completar su desarrollo y llegar a etapas reproductivas. Como los vegetales no se encuentran aislados, siempre existe un grado de competencia, entre individuos, de la misma especie o de especies diferentes.
 
Esta competencia se puede clasificar de la siguiente forma:
 
• Entre estructuras de la misma planta.
• Con individuos de la misma especie.
• Con individuos de diferentes especies.
 
En los sistemas agrícolas es común que se observen diferentes interacciones entre individuos, algunas relaciones son más comunes y otras menos frecuentes. Entre las relaciones más comunes se encuentran:
 
• Competencia.
• Parasitismo.
• Herbívoria.
• Depredación.
 
De las menos frecuentes, podemos, nombrar:
 
• Mutualismo.
• Protocooperación.
• Comensalismo.
• Amensalismo o alelopatía.
 
La “competencia” es el tipo de relación en la cual, dos individuos comparten recursos provistos en cantidades insuficientes, para satisfacer necesidades conjuntas. Esta es la causa común, de la reducción de la supervivencia, el crecimiento o de su capacidad reproductiva (Satorre, 1989).
 
Brevemente vamos a describir las relaciones que se dan en los ecosistemas. Identificando los efectos que los mismos producen. El caso del “parasitismo”, “herbívora” y “depredación” son los tipos de relaciones en las cuales uno de los individuos se beneficia y el otro se perjudica.
 
El “parasitismo” puede darse entre patógenos y hospederos (plantas superiores). Otro tipo de parasitosis se da entre plantas superiores y plantas parasitas; en el caso de que sean parásitos parciales, es decir, la planta parásita, puede fotosintetizar, se denomina, hemiparásitos.
 
Si la parasitosis es completa (entre plantas superiores y parasitas), es decir por medio de haustorios, extrae savia de floema y agua y nutrientes del xilema, se los denomina, parásitos totales o también haloparásitos.
 
El “mutualismo y protocooperación” es un tipo de relación en el cual ambas especies se benefician, el termino cooperación se utiliza para identificar el tipo de relación que se produce entre individuos de la misma especie y el de mutualismo para individuos de especies diferentes. Puede decirse, que ambos resultan beneficiados por la asociación, y si no están 
juntos reducen su aptitud biológica.
 
La “alelopatía” es un término introducido por Molisch en el año 1937, en el cual se establecen interacciones químicas entre especies tanto estimulantes como inhibitorias. Fueron muy estudiados los efectos alelopáticos de cultivos tales como arroz, sorgo y avena fatua.
 
El “comensalismo” es un tipo de relación, en la cual, un individuo es beneficiado por la presencia de otro y a su vez este, no resulta ni beneficiado ni perjudicado por su presencia.
 
Vamos a centrarnos en el tipo de relación que comúnmente se da entre cultivo y malezas, que es la competencia, si bien existen casos de parasitismo, son menos frecuentes, podemos citar el caso de Cuscuta y alfalfa, donde se la considera una plaga de importancia por la similitud entre las semillas de ambas.
 
El investigador Emilio Satorre (1988), define la competencia como la relación que se da entre dos individuos que comparten recursos escasos, causando reducciones importantes en la supervivencia, rendimiento y fecundidad.
 
Las malezas, compiten con el cultivo por los recursos escasos, agua, nutrientes y luz. Además, indirectamente generan contaminación, reducción de la calidad de los cultivos e incremento de los costos productivos.
 
La competencia, puede ser intraespecifica, es decir, entre individuos de la misma especie, la cual es fundamental para fijar la densidad óptima de individuos de acuerdo a la disponibilidad de recursos.
 
La competencia, interespecifica, que se da entre individuos de diferentes especies, permite elegir el criterio de manejo de las malezas acorde al tipo de cultivo.
 
La competencia, puede ser directa o indirecta, la competencia directa asume la existencia, de un espacio reducido, daño mutuo y mecánico. Aunque lo más común, a nivel agrícola es la competencia indirecta. 
 
Un caso especial de competencia, es la competencia aparente, en la cual el efecto negativo reciproco se debe a la presencia de un tercer organismo. Es el caso de especies que actúan como refugio de plagas los cuales causan perdidas a un cultivo.
 
Para el caso de competencia por luz, si bien se considera que la provisión lumínica es ilimitada, el sombreado, o reducción de la calidad lumínica es la causa de competencia.
 
En este sentido, adquiere importancia la arquitectura foliar y la tasa de crecimiento, es así que el uso de cultivares que posean mayor tasa de crecimiento, generan mejoras en el control de malezas. Aunque, la habilidad competitiva (mayor tasa de crecimiento) actualmente no resulta prioritaria para los programas de mejoramiento genético.
 
 ¿Qué es la competencia intraespecifica?
 
Satorre y Krust en el año 2003 explicaron, la relación entre la biomasa por unidad de área en función de la densidad de individuos. Es así, que la biomasa/unidad de área se incrementa, con el aumento de la densidad hasta un punto, en el cual el rendimiento individual se ve afectado por la competencia intraespecifica.
 
En condiciones de baja densidad, el rendimiento depende del número de individuo, pero al incrementarse el número de individuos el rendimiento se vuelve dependiente de la disponibilidad de recursos del medio.
 
Este comportamiento asintótico, da lugar a la “Ley de Rendimientos máximos constantes” 
 
(Radosevich 1997). Para la mayoría de las especies, la relación entre el rendimiento biológico y densidad es descripta por el modelo hiperbólico.
 
¿Cuáles son las expresiones matemáticas de la competencia intraespecifica?
 
La hipérbola es la expresión matemática que describe la relación entre el rendimiento biológico de una población.
 
 Bases para la Ecología y Biología de malezas, Capitulo I - Image 1
Y = rendimiento por unidad de superficie.
D = densidad.
bo y b1 = son valores constantes considerados parámetros de la ecuación.
 
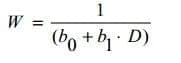
A partir de esta ecuación, puede obtenerse el valor de rendimiento individual (W) y la densidad (D).
Bases para la Ecología y Biología de malezas, Capitulo I - Image 2 
 
Ahora si se obtiene la inversa del rendimiento individual (1/W) en función de la densidad, se obtiene un modelo lineal (Ley reciproca del crecimiento) donde:
 
bo = ordenada al origen, es la reciproca del peso máximo de un individuo aislado. 
b1 = incremento en la inversa del rendimiento individual, mide la perdida de rendimiento individual ante el incremento de una unidad de individuo a la densidad.
 
Si expresa el incremento de , es una medida de la competencia intraespecifica.
 
Detallemos las bases biológicas de la validación modelo hiperbólico.
 
• La ordenada al origen es “0” es decir sin malezas no hay perdidas de rendimiento. 
• A bajas densidades de malezas se considera “0” la competencia intraespecifica. 
• Con incrementos de la densidad de malezas las pérdidas de rendimiento tienden a un valor “A” pero nunca superan el 100%. 
• Las mayores densidades consideran competencia intraespecifica entre malezas. 
• El modelo hiperbólico queda expresado de la siguiente manera: 
 
YI = donde
 YI = son las pérdidas totales producidas.
 D = densidad.
 I = pérdidas ocasionadas por densidades extremadamente bajas de malezas.
 A = pérdidas ocasionadas cuando la densidad de malezas tiende a infinito.
 
• El modelo tal cual es expresado es validado por el análisis de los residuales donde queda una distribución 52/48 positivos negativos respectivamente.
 
Medidas de competencia:
 
Se conocen tres formas de dimensionar la competencia:
 
• Habilidad competitiva.
• Complementariedad de recursos.
• Severidad de la competencia.
 
En los tres casos, el parámetro a medir es la producción de materia seca, que es según Satorre el parámetro más fiel para identificar las pérdidas de rendimiento.
 
1- Habilidad competitiva:
 
Es una medida de la habilidad de una especie, población y genotipo, de obtener recursos escasos. Es un criterio relativo dado que se compara la performance de diferentes especies creciendo en mezclas.
 
Los estimadores son dos:
 
Rendimiento relativo: que es la reducción proporcional del rendimiento por crecimiento en mezclas en relación al rendimiento potencial en monoculturas.
 
 RRi= Rij/R
 
Índice de agresividad: es la diferencia del RR entre ambos componentes de la mezcla.
 
AGR = (Rij/Ri– Rji- Rj)
 
2- Complementariedad de recursos y severidad de competencia.
 
Es una medida del grado con el que diferentes individuos comparten y utilizan recursos cuando crecen juntos. Si usan los mismos recursos limitantes, compiten plenamente y la complementariedad es nula.
 
El valor de la complementariedad de recursos es el rendimiento relativo total RRT
 
RRi + RRj =   RRT > 1 complementariedad
 
                        RRT = 1 plena competencia
 
                        RRT < 1 Amensalismo
 
                        RRT = 2 total complementariedad de recursos.
 
3- Severidad.
 
Es una medida del efecto en un individuo de otro individuo vecino. O mejor explicado, en cuanto se reduce la biomasa de uno por la presencia de otro individuo vecino.
 
Fue estudiado el caso de la agresividad de yuyo colorado y pepino y el mismo dio un valor 3:1 es decir el crecimiento de 3 plantas de yuyo colorado equivale a 1 de pepino.
 
 
Factores que inciden en el efecto competitivo de las malezas y el cultivo.
 
• Habilidad competitiva de la especie malezas; densidad de maleza y el cultivo.
• Momento de emergencia de la maleza respecto al cultivo.
• Habilidad competitiva de la especie cultivada.
• Distribución espacial de la maleza.
 
Especie malezas, densidad de las malezas y cultivo.
 
La habilidad competitiva a bajas densidades depende del tipo de malezas. Incrementos en la densidad de malezas provoca drásticas pérdidas de rendimiento. Esto se puede explicar con el ejemplo de yuyo colorado, el cual provoca pérdidas de 10% en pepino en densidades de 1-2 plantas por metro. Cuando la densidad, se incrementa a 10 plantas las pérdidas superan el 65%. Similar comportamiento tiene chamico en soja. Con variaciones en la densidad de malezas el componente más afectado es el número de frutos y en menor medida el peso individual del fruto.
 
Momento de emergencia de las malezas respecto al cultivo.
 
Los dos componentes que mas perdidas provocan en el cultivo, son la densidad de maleza y el momento de emergencia. Las mayores pérdidas se producen al alta densidades y con emergencia temprana. En emergencias tardías las pérdidas de rendimientos no son importantes.
 
Habilidad competitiva de la especie cultivada.
 
En competencia con cebada la biomasa total de malezas representó el 15% de la biomasa total acumulada comparado con la situación contrastante de ausencia de cultivo. Para trigo ese valor fue de 30% y la mayor proporción de malezas corresponde a crucíferas. Con estos datos, se puede concluir que cebada es mejor competitiva frente a malezas que trigo.
 
Distribución espacial.
 
La distribución que provoca las mayores pérdidas es la distribución regular. Pero las malezas presentan una distribución azarosa, y en manchones. En todos los casos, incrementos en la densidad de siembra del cultivo provoca incrementos en el rendimiento.
 
Practicas agronómicas que afectan la habilidad competitiva del cultivo respecto a la maleza.
 
• Se ha puesto énfasis en el estudio del efecto del agregado de Nitrógeno y la duración de la interferencia de las malezas en el cultivo de maíz. El agregado de nitrógeno provoca un incremento en el área foliar, que se traduce en un incremento en la biomasa aérea total y en la altura. Estos atributos le confieren al cultivo, mayor habilidad competitiva frente a las malezas.  
• Efecto de la densidad de siembra del cultivo y la distribución especial.
 
El manejo de la densidad es una práctica muy factible en los agroecosistemas. Las siembras de cebada a alta densidad, permitió rendimientos aceptables debido al mínimo efecto de avena en el rendimiento.
 
• Espaciamiento entre surcos. El acortamiento del espacio entre surcos incrementa la habilidad competitiva del cultivo. El rápido cierre del entresurco, genera un ambiente lumínico desfavorable para las malezas. 
• Elección del genotipo. Las mayores diferencias entre genotipo se producen en competencia por recursos aéreos. Las malezas en general presentan un desarrollo radicular lento, respecto al cultivo, lo que explica la menor habilidad competitiva respecto a recursos subterráneos.
 
Temas relacionados:
Autores:
Claudio Benitez Palazzesi
Universidad Nacional de Rosario - UNR
Universidad Nacional de Rosario - UNR
Recomendar
Comentar
Compartir
Daniel Roberto Ali
Universidad Nacional de La Pampa - Argentina
Universidad Nacional de La Pampa - Argentina
1 de julio de 2014
Yo recuerdo cuando aconsejaban pulverizar Diplotaxis aùn en la banquinas, tengo afiches, sin embargo era mejorar guardarla como reservorio genètico para retardar la resistencia. Y estas son generalidades de el funcionamiento del sistema, proteger el cultivo no significa intentar "competencia cero", contemplando la integraciòn basta con obtener un nivel de daño que no interfiera con nuestros intereses.
Recomendar
Responder
Daniel Carlos Besso
CADIA - Centro Argentino de Ingenieros Agrónomos
CADIA - Centro Argentino de Ingenieros Agrónomos
30 de junio de 2014
Creo Jorge Antonio, que has entendido mal o yo no supe explicarme. Antes de tomar cualquier medida de manejo o tratamiento, es ABSOLUTAMENTE INDISPENSABLE tener claro cuales son los mecanismos con que opera la naturaleza. En mis 40 años de profesión he visto cometer innumerables desaciertos por ignorar estas cuestiones y yo tampoco he sido ajeno. Plantarse desde un sentido de infalibilidad es muy riesgoso. En el siglo pasado se tomaban medidas desde la ignorancia, lo que puede resultar entendible y tolerable. No es así desde algun conocimiento y más aún desde UNA DUDA CINTÍFICA RAZONABLE.
Recomendar
Responder
Daniel Carlos Besso
CADIA - Centro Argentino de Ingenieros Agrónomos
CADIA - Centro Argentino de Ingenieros Agrónomos
28 de junio de 2014
Creo y no temo equivocarme, que la ciencia agronómica se trata de comprender lo más ajustadamente los mecanismos de la naturaleza. Luego, consecuentemente, se trata de JUGAR CON LAS REGLAS DE LA NATURALEZA Y NO DE PORFIARLAS.
Recomendar
Responder
Daniel Roberto Ali
Universidad Nacional de La Pampa - Argentina
Universidad Nacional de La Pampa - Argentina
26 de junio de 2014
Y las palomas vendrán luego....
Recomendar
Responder
Mario Monti
26 de junio de 2014
Las soluciones propuestas por la Agricultura Industrial siempre conlleva un negocio detrás ... Plagas/Malezas/Enfermedades => Biocidas + Transgénicos Inundación => SD + canales Sequía => SD + riego Ambientes no agrícolas => Genética Balance de MO => Rotación Maíz+Soja en SD Carencia Mineral => Fertilización + Bacterias que agoten hasta los últimos ppm del suelo Y el baile sigue .... mientras crece el endeudamiento de algunos productores y de muchos prestadores de servicios, agravado con un deterioro creciente del ambiente, en particular del suelo. La agronomia es mucho mas que aquello que viene en bolsa o bidón. Se trata de comprender cabalmente las relaciones ecosistémicas. Las facultades junto a las organizaciones cientificas deseosas de obtener "patentes" y satisfacer la demanda del mercado se han ovidado de su funcion principal ... ejercitar el pensamiento crítico, ser rebeldes ante paradigmas impuestos, buscar la incomodidad de la discusión en vez de la complaciente aceptación. En fin .... en 1983 Alfonsin quería llegar a los 60 millones de Tn para solucionar los problemas del pais, en ese entonces solo producíamos 25, en los '90 Menen quería llegar a los 100, cosa que se logro en la 1° década de los 2000. Ahora vamos por 5.000.000 mas de has en Agricultura y para llegar a los 160 millones de tn para solucionar los problemas del pais ..... hummmm..... solución para el país o negocio? Muchachos, recomiendo como plan de emergencia la compra de un bote, salvavidas, agua mineral y galochas Y si don Benitez, hay que cambiar el paradigma o el paradigma se va a cambiar solo .... pero hay que juntar la evidencia y mostrarla .... aunque haya Congresos que luego no te van a invitar.
Recomendar
Responder
Daniel Carlos Besso
CADIA - Centro Argentino de Ingenieros Agrónomos
CADIA - Centro Argentino de Ingenieros Agrónomos
8 de abril de 2014
Ingeniero Benitez: Todo lo explicado en su comunicacion, ademas de clara y concluyente, no hace mas que confirmar las nociones basicas de ecologia y biologia. Todos los organismos en al naturaleza se comportan del mismo modo, los insectos con los insecticidas, las bacterias patogenas con los antibioticos y las royas con los fungicidas. Negar esto es: o muy pueril o muy interesado. La naturaleza viene ensayando sus criaturas desde hace 3.500.000.000 de años, es poco menos que soberbio pretender burlar sus leyes en tan solo algunas decadas.
Recomendar
Responder
Daniel Carlos Besso
CADIA - Centro Argentino de Ingenieros Agrónomos
CADIA - Centro Argentino de Ingenieros Agrónomos
24 de marzo de 2014
Excelente puesta en claro de conceptos bastante olvidados por el "FACILISMO DE LOS SANTOS REMEDIOS". Felicitaciones.
Recomendar
Responder
Cipriano Martinez Tutiven
20 de enero de 2015
Saludos a todos.- se podría decir que otra manera de todos los trabajos de control de las maleza es tomando en cuenta que con un buen trabajo de mecanización para exponer todas las raíces a las rayos solares y en los cuales aplicarle el herbicida que corresponda podría colaborar a erradicar la gran mayoría de las maleza mas agresivas, este trabajo realizado se lo tendría que dejar por unos dias expuestos al sol para que visualmente se lo controle y en caso de que alguna maleza muestre resistencia se le aplique por segunda vez el producto que uso o se le aplique un producto diferente o manualmente se lo pueda retirar. Alguna vez hay que aplicar lo científico con lo practico con la experiencia que muchos de ud. la tienen.
Recomendar
Responder
Cipriano Martinez Tutiven
11 de septiembre de 2014
Saludos a todos.- todos conocemos los comportamiento de las malezas,lo que se pasa por alto es el desconocimiento de como tratar de herradicarla paulatinamente si son ciclos cortos o anuales,no debe de permitiserle que semille y tambien en la preparacion de los suelos al voltear con el arado esponerla a los rayos ultra violetas agan su trabajo, en caso de los cutivos estables de mas de dos años se los puede combatir con herbicidas que no causen molestias residuales por que des pues de la accion del herbicida se puede pasar una rastra pequeña, el conocimiento de la ecologia y biologia es importante para tener conocimiento en muchas labores a realizar y no cometer herrores.
Recomendar
Responder
Jorge Domenech
9 de septiembre de 2014
Bueno, la parietaria se había vuelto muy rebelde después de muchos años de controlarla con bajas dosis de glifosato -y llegó a molestar bastante a la soja cuando se hacía un piso de parietario- hasta que le dimos primero con atrazina y después con metsulfurón.Efectivamente, cualquiera de los dos la controla siempre que todavía no haya nacido. Parece que con la rama negra es más o menos lo mismo, aunque todavía no estoy tan seguro. Esperemos que la herramienta de los cultivos de cobertura funcione, porque si no, se viene la noche.
Recomendar
Responder
Profile picture
¿Quieres comentar sobre otro tema? Crea una nueva publicación para dialogar con expertos de la comunidad.
Usuarios destacados en Agricultura
Miguel Ángel Taboada
Miguel Ángel Taboada
Instituto Nacional de Tecnología Agropecuaria - INTA
Instituto Nacional de Tecnología Agropecuaria - INTA
Investigación, director del Instituto de Suelos del INTA
Estados Unidos de América
Dr. Ramon León González
Dr. Ramon León González
North Carolina State University - NCSU
North Carolina State University - NCSU
Investigación / Profesor asociado, biología y ecología de malezas
Estados Unidos de América
Antonio Mallarino
Antonio Mallarino
Iowa State University
Iowa State University
Estados Unidos de América