No existe acuerdo sobre la definición del término requerimiento nutricional. Por ejemplo Morris (1983) indicó que “nadie está tratando de estimar el requerimiento para un nutriente, porque el término requerimiento no es útil”. Al respecto Baker (1986) opinaba que el principal problema para la determinación de los requerimientos es que “no existe ningún dogma universalmente aceptado para saber el significado del requerimiento”. Mercer y Dodds (1985) mencionaron que el término requerimiento es vago, sin una definición precisa, y enfatizaron que el término como requerimiento y óptimo deben ser definidos en un esquema de un modelo matemático que aporte las bases para su utilización. Posteriormente, Mercer et al. (1987) definieron requerimiento como la concentración dietaria necesaria para producir un promedio de respuesta deseado.
El problema de la estimación es más complicado cuando se considera que las relaciones entre nutrientes pueden modificar los requerimientos de otros. Ammerman (1987) quien ha estudiado requerimientos de minerales en rumiantes, afirmó que no hay un valor de requerimientos para un elemento mineral y que en teoría hay una serie de niveles requeridos. Existen otros problemas relacionados con la experimentación en la determinación de requerimientos como la variación de contenido de nutrientes en alimentos y en dietas (Lerman y Bie, 1975) y la variación animal (Carpenter, 1971). Otros factores relacionados con las técnicas y variables son revisados extensamente por Baker (1986).
A pesar de que no existe una definición ni consenso del concepto de requerimiento en experimentos de dosis respuesta, se pueden utilizar modelos matematicos para obtener un valor que pueda servir como base para las prácticas de alimentación. Mercer (1980) indicó que los modelos matematicos deben tener las siguientes caracteristicas: 1) describir la respuesta al nutriente a varios niveles del consumo, 2) describir las respuestas producidas por los diferentes tipos de nutientes y las fuentes de éstos, 3) describir las respuestas en varias especie de organismos superiores, y 4) tener un signidificado biologico y matematico.
Los principales requerimientos en la produción de engorda son los de energía y los de proteína, pero eso no significa que no deben de desatenderse los de todos los minerales y vitaminas. Anteriormente se usaban los requerimientos del nrc (1984) los cuales consideran el tamaño de la raza (talla mediana y grande), se basan en un gran número de datos para calcular el valor energético de los alimentos, consideran algunos ajustes para efectos del proceso de alimentos y del medio ambiente en los requerimientos y presenta una relación de ecuaciones de predicción de consumo y ganancia de peso, así como la estimación de consumo de agua. Actualmente se usan los requerimientos del nrc (2000).
Los requerimientos de energía son uno de los principales aspectos en un corral de engorda, por lo que debemos recordar que ésta dependen del peso metabólico, la tasa de crecimiento deseada, los gastos de actividad y los cambios en el metabolismo por el medio ambiente en condiciones fuera de la termoneutralidad, el sexo y la edad fisiológica. Se estima que los requerimientos de mantenimiento varían de 3 a 14% por sexo, raza y edad fisiológica. Un aspecto imprescindible cuando se alimenta a animales con dietas más energéticas, es el hecho de que la eficiencia de la utilización de la energía se mejora al aumentar la energía de la dieta (Cuadro 12.1).

La Energía Neta (en) para crecimiento es definida como el total de energía depositada en el tejido (grasas y proteína). La cantidad de grasas y proteína retenida depende del consumo de energía sobre las necesidades de mantenimiento, de la tasa de crecimiento (relacionada con el peso maduro). La Energía Neta de ganancia (ENg) en animales implantados contiene 5% de energía menos por unidad de ganancia (nrc, 1984).
Los requerimientos de energía de cualquier raza está relacionados a su peso maduro, por lo que existen diferencias en la utilización de la energía entre razas. Este aspecto debería tomarse en cuenta para la selección de peso de venta. Se podría vender bovinos de razas chicas a 350 kg; cruzas y animales de talla media a 400 kg, y razas grandes a 450 kg; y obtener así mayor eficiencia en la utilización del alimento. Para comprender esta aseveración, es importante tener presente el concepto de peso equivalente y considerar que a un mismo peso, el contenido de grasa y proteína es diferente para dos razas de talla distinta (Cuadros 12.2 y 12.3).

Existen otros sistemas de expresión de requerimientos de energía como el propuesto por los británicos llamado Sistema de energía metabolizable de arc (1980). Este considera la metabolizabilidad de la energía (q) o relación de la energía metabolizable/bruta de un alimento y el tamaño de la raza. El Sistema de energía neta o California (Lofgreen y Garret, 1968) representa mejor el fenómeno biológico del crecimiento ya que considera que la energía es usada en forma primordial para mantenimiento y posteriormente para ganancia, y reconocer que existen diferencias en la eficiencia de utilización de la energía para dichas funciones. La Energía Neta es la fracción de la energía bruta consumida que es retenida por el animal o transformada a producto.
Con relación a requerimientos de proteína, hay que tener presente que éstas se requieren en el organismo para múltiples funciones que van desde la síntesis de enzimas, proteínas del músculo, piel y sangre. Desde un punto de vista práctico, debemos estar seguros que las raciones contengan nitrógeno degradable para que los microorganismos del rumen puedan sintetizar proteína y degradar los carbohidratos dietarios.
Concentración de nutrientes en raciones de engorda
Debido a las complejidad de factores que intervienen en los requerimientos, así como en la gran variación de consumo debido a factores dietarios y ambientales, es necesario expresar los requerimientos con base en la concentración recomendada para las raciones de las distintas etapas del proceso. Estos presentan muchas ventajas operativas y deja a la reponsabilidad del nutriólogo los cambios que considere de acuerdo a características particulares.
En el Cuadro 12.4 se presentan las recomendaciones de especialistas de la Universidad de Nebraska y del Departamento de Agicultura de Estados Unidos para las raciones de recepción. Es importante señalar que en estos sistemas se utilizan altas cantidades de grano por lo que la adición de ionóforos es una práctica obligada. Tambien cabe mencionar que no se debe cambiar drásticamente un sistema de alimentación y que si se quiere incrementar los niveles de granos en la ración hay que hacerlo en forma paulatina, ya que el riesgo de acidosis subaguda permanece en forma continua.
En el Cuadro 12.5 se presentan las recomendaciones para ganado en finalización. En muchas ocasiones, es posible que no logremos formular raciones con esos niveles de energía a menos de que se incluyan grasas en las raciones. En caso de que los ingredientes no permitan alcanzar la energía, se puede reducir a criterio del nutriólogo, teniendo en cuenta que se reducirá la ganancia diaria de peso.
Uno de los aspectos más importantes en la industria de corrales de engorda es la predicción de las ganancias y del consumo, ya que esto permite hacer un análisis de decisiones y de costos. A continuación se describen los pasos de un sistema que puede ser usado para predecir el comportamiento de bovinos.
Conocimiento de las raciones en base húmeda
Lo primero que se necesita conocer es la situación actual del corral y conocer las raciones utilizadas; por ejemplo, la ración del Cuadro 12.6.
Análisis de alimentos
Es imprescindible la información sobre el contenido de algunos nutrientes o bien obtener el valor de algunas tablas de composición. Para la predicción del comportamiento se requiere conocer el valor energético y el contenido de proteína. El análisis crítico de los ingredientes en forma global debe hacerse todo el tiempo. Para el ejemplo asúmanse los valores de composición del Cuadro 12.7.
Para predecir el contenido energético de los alimentos con base en el análisis del laboratorio, se puede utilizar la relación entre la digestibilidad y el total de nutrientes digeridos (tnd) ajustado por el contenido mineral (Fernández-Rivera et al., 1989) y con las relaciones descritas por el nrc (1984). Para esto se puede utilizar el valor de la digestibilidad in vitro (digiv) de la materia seca, y si no se conoce el de la digestibilidad de la materia orgánica, se puede usar un promedio de 8% de minerales:
Cálculo de ración en base seca
Para conocer la fórmula de la ración en base seca se multiplica el porcentaje de la materia seca de cada ingrediente por su proporción en la ración y ajusta a 1 kg de materia seca por simple regla de tres (Cuadro 12.8).
Estimación de contenido de nutrientes
Una vez que se conocen las proporciones de los alimentos en base seca y su contenido de proteína y de energía, se multiplican por su proporción y se suman para obtener el resultado, por ejemplo, para calcular el contenido de proteína se muestran los cálculos en el Cuadro 12.9.
La ración tiene 13.36% de proteína cruda en base seca. Los cálculos para estimar el contenido de energía de mantenimiento y de ganancia y de energía metabolizable se hacen de la misma forma. Los cálculos para la concentración de energía neta de mantenimiento se presentan el Cuadro 12.10.
La ración tiene 1.55 Mcal/kg ms de ENm. En el Cuadro 12.11 se muestran los cálculos para obtener la concentración de energía neta de ganancia.
La ración tiene una ENg de 0.96 Mcal/kg ms. Para predecir el comportamiento es recomendable conocer la Energía Metabolizable (em), la cual se calcula en la misma forma (Cuadro 12.12). La ración tiene 2.43 Mcal/kg ms de energía metabolizable.
Información de los animales y la temperatura ambiental
Es necesario definir el promedio de peso vivo inicial para calcular los requerimientos de Energía de Mantenimiento y conocer la temperatura ambiental. La temperatura es importante ya que en condiciones de estrés calórico se incrementan los requerimientos de metabolismo basal o sea que se incrementan los requerimientos de energía neta de mantenimiento.
Si existe estrés calórico o la temperatura (T) promedio diaria es mayor a 25 °C podemos usar la ecuación publicada por Mendoza et al. (1993), basada en los resultados de Ames (1985) para obtener un factor de ajuste (Ft):
Los requerimientos de mantenimiento (ENm) son calculados con base en el peso metabólico que es el peso vivo (pv) elevado a 0.75 (nrc, 1984):
Si existe estrés calórico, el requerimiento de ENm sería:
Estos son los ajustes mínimos del requerimiento de ENm, y podría verse incrementados por actividad (arc, 1980), por exceso de nitrógeno degradable en la ración y por desaminación de proteína (Mendoza et al., 1993). En el mismo ejemplo, un animal de 260 kg de peso vivo sin estrés calórico:
Estimación de consumo
Uno de los aspectos más difíciles es la predicción del consumo de Materia Seca (cms), ya que como se vio anteriormente, éste será afectado por el tipo de grano, nivel de forraje, temperatura ambiental, presencia de aditivos alimenticios, peso vivo, problemas de acidosis y otros factores.
En esta sección presentaremos cuatro fórmulas de estimación de consumo. En este ejemplo se usa el promedio de las cuatro estimaciones para el cálculo; sin embargo, es libertad del lector usar la fórmula que más se acerque a sus condiciones de acuerdo con su experiencia. El sistema arc (1980) tiene una fórmula de predicción basada en la concentración de energía metabolizable de la ración. (em, Mcal/ kg ms). Esta fórmula tiende subestimar el consumo:
Con base en resultados de los corrales de engorda de la Universidad de Oklahoma, Owens y Gill (1982) proponen la siguiente fórmula:
El nrc (1984) establece la siguiente ecuación:
Se obtuvo aquí una ecuación de regresión polinomial para estimación del consumo, basada en el Peso Vivo (pv) y en el porcentaje de Forraje (F). Para esto es necesario sumar los forrajes de la ración y considerar su proceso físico; por ejemplo un forraje molido no debe considerarse, pues limita el consumo:
Es importante tener presente que estas fórmulas son para estimar el consumo en corrales de engorda y no pueden aplicarse a condiciones de pastoreo. Al continuar con el ejemplo, calculese el consumo de la ración con las ecuaciones:
Para este ejercicio se asumió que el heno de alfalfa estaba molido por lo que el único forraje que se utilizó en los cálculos es la paja de trigo. Debido a que las ecuaciones consideran diferentes variables independientes, tomamos el promedio de las cuatro estimaciones para nuestros cálculos de predicción:
Si se desea, se pueden aplicar otros factores al consumo como sería el efecto de reducción por la adicción de ionóforo
Estimación de la ganancia
La estimación del comportamiento se hace con base en el sistema California de Lofgreen y Garret (1968) para lo cual, primero se calcula el Consumo de Materia Seca para mantenimiento (CMSm), o la cantidad de alimento que se requiere para funciones de mantenimiento:
Esto significa que se necesitan 3.42 kg de ese alimento para mantenimiento y que el resto se puede utilizar para ganancia. Es importante analizar que si se aumenta el requerimiento de ENm por temperatura u otros factores, se aumentaría el CMSm; lo cual reduciría la retención de energía. Por otro lado, la única forma de reducir el CMSm es aumentando la cantidad de energía de la ración, por lo tanto resultaría en mayor alimento para ganancia de peso.
Una vez que se conoce el CMSm se calcula el consumo de materia seca para ganancia (CMSg) simplemente restando el consumo estimado del CMSm:
Para que exista ganancia de peso, el cms debe ser mayor al CMSm. Posteriormente se calcula la Energía Retenida (er) que corresponde a la energía en grasa y proteína despositada en la canal, y después la Ganacia Diaria de Peso (gdp), utilizando ecuaciones del nrc (1984):
Estimación de la eficiencia
Finalmente es importante considerar la estimación de la conversión alimenticia (ca):
Aquí es posible considerar cuáles sería los efectos de usar aditivos o promotores de crecimiento; por ejemplo, si esperamos un 10% de mayor ganancia en animales implantados, la gdp sería:
Lo cual mejoraria la eficiencia en:
Con esa ganacia se pueden hacer proyecciones sobre la duración de la engorda; tambien se pueden simular condiciones al modificar la ración, al incrementar el nivel de grano y/o con la inclusión de grasas o cualquier ingrediente. Es recomendable aprender a usar algún programa de hoja de cálculo para hacer estas operaciones en el tiempo mínimo.
Análisis del desarrollo de lote por medio de la eficiencia alimenticia
Cuando se analiza el comportamiento de un grupo de animales, se puede apreciar variaciones en los indicadores como es la gdp y cms, sin embargo, la conversión alimenticia conjunta los indicadores antes mencionados y permite de forma paralela tomar decisiones respecto al desarrollo de los animales. Para análisis de sistemas de producción de bovinos en corral de engorda, la eficiencia alimenticia (ea) se expresa en (%), se considera un indicador factible para determinar la situación dentro del propio sistema, así como entre otros sistemas de producción de alimentos (Peters et al., 2014).
En una revisión de 13 autores, analizando un total de 60 tratamientos de bovinos en corral de engorda se registró un valor promedio de eficiencia de 0.173 ± 0.02, el valor máximo reportado fue de 0.235% y un valor mínimo de 0.146%, obteniendo una brecha entre el máximo y mínimo de 37 unidades porcentuales. Lo que implica un análisis a fondo de las causas de dicha diferencia. Para mostrar la importancia del análisis de la ea, es necesario estimar de manera cuantitativa los consumos de energía y proteína en función a la ea; Zinn et al. (2003) al ofrecer una dieta (heno de pasto Sudán 6%, heno de alfalfa 4%, cebada en hojuela 76%, melaza de caña 5%, grasa amarilla 5%, bicarbonato de sodio 0.75%) con distintos niveles de urea en la dieta (0 a 1.2%), reportaron valores similares de eficiencia entre los distintos tratamientos, sin embargo, las ganancias de peso, así como otros indicadores fueron distintos. Para analizar lo anterior, se presentan los valores reportados por Zinn et al. (2003) en el Cuadro 12.13. Los resultados muestran que la ganancia diaria de peso se incrementó al aumentar el nivel de urea, tendiendo a ser máximo (1.53 kg/d) con un nivel de urea en la dieta de 0.8%. Lo que significa una optimización al utilizar urea en la dieta para bovinos. Al incrementar el nivel de urea en la dieta se incrementó la digestión ruminal del almidón. La digestión del almidón en el total del tracto fue similar en todos los tratamientos. La digestión de la materia orgánica total se optimizó utilizando 0.4 y 0.8% de urea en la dieta.
En la actualidad los requerimientos nutrimentales deberán estimarse no solo en función al nivel de producción deseado, además, deberán considerarse aspectos de optimización y minimización de compuestos excretados por los animales al ambiente. En los datos presentados en el Cuadro 12.13, se observa que la ea es similar en todos los tratamientos, sin embargo, la optimización de la ganancia diaria de peso no es igual en todos los tratamientos. La excreción de N tendió a ser mínimo al utilizar 0.8% de urea en la dieta.
Lo anterior implica que al estimar los requerimientos nutrimentales no solo se debe considerar la proteína cruda y la ENg, además, deberá contemplarse el requerimiento de proteína metabolizable, las necesidades de proteína degradable en rumen, los valores de eficiencia alimenticia, necesidades de minerales, vitaminas, optimización y las cantidades que desecha el animal de los distintos compuestos (óxido nitroso, metano y CO2).
Análisis económico
Finalmente es fundamental hacer un análisis económico, el cual será tan completo como la información que se le proporcione. Estos análisis deberán considerar al menos los siguientes aspectos: días de engorda, peso inicial, costo del ganado al entrar al corral, costo en pie, costo financiero del ganado (con base en interés bancario), costo de alimentación, costo financiero del alimento (con base en interés bancario), gastos generales (costo de producción, manejo, administración, consultoría, mendicinas, depreciaciones, mortandad, flete a rastro y distribución, sacrificio, etc.), costo total, recuperación por víceras y piel, costo/kg de canal y otros. Es de utilidad expresar la rentabilidad como porcentaje de los costos de producción para poder comparar con otras explotaciones (Mendoza et al., 2015). No se debe de olvidar que el proceso de producción de carne es una industria y se deben tomar desiciones con base en la relación costo-beneficio.
Formulación de raciones
Existen innumerables métodos de formulación de raciones (Mendoza y Ricalde, 1993) los cuales han sido descritos en otros libros (Trujillo, 1987). De todos éstos, se debe utilizar la programación lineal para poder reducir los costos de alimentación que representan el principal costo de producción en un corral de engorda. Es importante aclarar que la programación lineal funciona cuando se establecen las ecuaciones y restricciones con base a un fundamento biológico y conocimiento de requerimientos y de niveles adecuados de alimentos para los animales.
Programación lineal
La programación lineal es una técnica matemática usada en problemas de optimización de recursos, la cual fue desarrollada durante la Segunda Guerra Mundial para la fabricación de productos bélicos. En la postguerra se empezó a usar en el estudio de sistemas de producción. La aparición de las computadoras y calculadoras programables hacen de ésta una técnica accesible, y no existe justificación para que los estudiantes de áreas de la producción animal no la utilicen adecuadamente en la optimización de alimentos. Se pueden resolver problemas con el Excel o con programas gratitutos de la red.
La palabra programación se refiere a la planeación de actividades, el término lineal a que éstas son solucionadas por un sistema de ecuaciones lineales. Existen innumerables usos de esta técnica en el area agropecuaria (Hardaker, 1971; Beneke y Winterboer, 1973); inclusive se ha usando para estudiar el balance de la fermentación ruminal (Baldwin y Reich, 1975).
Esta técnica se resuelve con cualquier computadora personales que tenga Excel o con calculadoras programables (poco usadas). La metodología matemática y algunos programas se encuentran publicados en libros de sistemas y de programación lineal (Heady y Candler, 1964; Gass, 1980; Mora, 1986).
Se resume el proceso de la programación lineal en seis etapas: 1. definir el problema de optimización; 2. traducción del problema a un sistema de ecuaciones o elaboración del modelo; 3. resolución con ayuda de una computadora; 4. interpretación de la solución matemática; 5. modificaciones al modelo; y, 6. solución real y recomendaciones prácticas.
Entre las primeras consideraciones al usar la programación lineal se tiene que definir la especie, los alimentos con que se cuenta, la concetración de nutrientes (prefeentemente basado en análisis de laboratorio confiables), los costos y disponiblilidad, las limitante fisiológicas o prácticas de uso de los insumos y los requerimientos de los animales de acuerdo a su etapa fisiológica o a las alteraciones ambientales en los mismos. Otro aspecto que se debe considerar se refiere a que en la formulación de raciones no se balancean raciones a cubrir requerimientos exactos, sino que existen rangos de variación que son fijados en el modelo. Estos rangos se fijan con base a criterios del formulador.
Elaboración de Modelo
Es necesario plantear el problema de optimización en forma de un modelo. Los modelos se componen de una función objetivo, variable y restricciones.
Función Objetivo
La función objetivo es llamada “Z” en algunos libros de Programación lineal, representa la ecuación del criterio que se pretende optimar; en el caso de la formulación de raciones corresponde al costo. Por ejemplo:
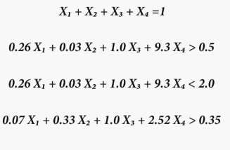
donde X1, X2, X3 y X4 son ingredientes (por ejemplo: rastrojo de maíz, sorgo, melaza, gallinaza); el coeficiente corresponde al kg de materia seca del ingrediente. Este punto es importante ya que en la formulación de raciones para rumiantes los nutientes se expresan en base seca y el costo por kg de materia seca.
Para calcular el costo de un ingrediente en base seca, se considérese lo siguiente: si 1 kg de ensilaje de maíz cuesta $ 0.50 y cada kilogramo tiene 40% de humedad, entonces cada kg tiene 0.600 kg de materia seca y estamos pagando $ 0.50 por 600 kg. Se hace una regla de tres para calcular el costo por kg de materia seca:
Entonces 1 kg cuesta 0.83 pesos. En la función objetivo del modelo se deben de incluir los costos por kg de materia seca. Es importante señalar que la ecuación de la función objetivo no se debe considerar dentro de la matriz del modelo.
Resticciones
Las restricciones son las ecuaciones (hileras en la matriz) de los distintos nutrientes que consideramos como volumen, proteína mínima, proteína máxima, ENm, ENg, calcio, fósforo, magnesio, zinc, vitamina A, etc., y las resticciones de los alimentos que tienen alguna limitante en su uso, como la urea, melaza, gallinaza y grasas entre otros. En las ecuaciones de la matriz se puede usar los signos de =, < y >, para establecer los límites de los nutirentes o de los ingredientes. La primera ecuación que se elabora es la del volumen. Por ejemplo, deseamos balancear 1 kg de materia seca con los ingredientes que se cuentan:

Nótese que no se indica ninguna cantidad específica de cada ingrediente, sino que la solución debe estar resuelta en 1 kg. Esto es determinante para poder hacer los cálculos de predicción de comportamiento posteriores y para solucionar más fácilmente y encontrar los nutrientes limitantes. No se recomienda formular raciones por nutrientes al día porque es difícil predecir el consumo voluntario de los animales.
Para ejemplificar el uso de los signos < y >, consideremos que deseamos que la ración tenga al menos 11.5% de proteína cruda y no más de 12.5%. Considerando el contenido de proteína de cada ingrediente se elabora la ecuación:
En las raciones de corrales de engorda son relevantes las ecuaciones de la ENm y ENg, Para la primera simplemente se formula a > cero y para la ENg se pone la restricción de acuerdo al tipo de dieta (recepción, adaptación 1, adaptación 2, finalización, etc.). Por ejemplo, si desamos una ENm mayor a cero y la ENg mayor de 0.80 Mcal / kg de ms quedarían de la sigueinte forma:
Los minerales son determinantes en el desarrollo de los animales, por lo que en corrales de engorda primero se formulan calcio, fósforo y potasio. Posteriormente deben de checarse todos los minerales o suministrar premezcla mineral de calidad conocida confirmando que se cubran los requerimientos de todos los elementos. Si se requiere una ración con un mínimo de 0.5% de calcio y máximo de 2% con minimo de 0.35% de fósforo y 1% de potasio, se considera el porcentaje de cada ingrediente y se elaboran las siguientes ecuaciones:

Además de las restricciones de nutrimentos, es necesario poner algunas a los alimentos ya que la computadora puede dar soluciones matematicás no bioló- gicas. Por ejemplo, en el caso de los alimentos que se utilizan, se debe emplear un mínimo de melaza para dar consistencia y palatabilidad a la ración (5%) y un maximo (12%) ya que existen limitaciones prácticas para mezclar cantidades mayores de melaza. Dado que está formulando a un volumen de 1 kg, entonces el 5% y el 12% deben expresarse en función de dicho volumen:
lo cual se reduce a:
Si se desea poner límites a la gallinaza de un 5% mínimo (por las necesidades de nitrógeno degradable de los microorganismos ruminales) y un máximo de 25% (a niveles mayores se disminuye la eficiencia), entonces las ecuaciones quedarían:
Otro aspecto es el nivel de forraje dado que es el principal seguro conta la acidosis subaguda. Entonces limitamos a que incluya inun mínimo de 45% los forrajes. En este caso sólo se cuenta con un forraje; pero asumiendo que X es paja de cebada, entonces las ecuación sería:
Si sólo se tiene un forraje (X1) entonces se reduce a:
Finalmente, la ración debe de escribirse en forma canónica para facilitar su solución en la computadora (véase Cuadro 12.14).
Variables
Existen cuatro tipos de variables en un modelo de programación lineal: las reales, las holgura (slack), las excedentes (surplus) y las artificiales. Las variables reales son los alimentos o ingredientes que se tienen para solucionar el problema, y entran en forma de columnas en la matriz cuando se elabora en su forma canónica (Cuadro 12.14).
Toda la ración está en función de 1 kg de volumen y las unidades de cada ecuación son iguales a las del requerimiento (% con %, Mcal con Mcal, etc.). Esto es importante ya que fácilmente se puede ver si existen variables que aportan cantidades mayores y menores al requerimiento para que existan combinaciones factibles de ser solucionadas matematicamente.
Las variables de holgura (slack) se obtienen en las ecuaciones con signos de < exclusivamente; por ejemplo, si solucionamos el modelo del Cuadro 12.14, encontraremos en la solución que la proteína cruda del resultado es de 11.5% y por lo tanto existe una variable de holgura en la ecuación:
la variable de holgura (Slacack) se indicará como:
Estas variables deben restarse del requerimiento establecido en la ecuación con el signo < para conocer el nivel del nutrimento:
Las variables de holgura son elaboradas durante la solución matemática de la matriz para trasformar una desigualdad del tipo < a una igualdad. Las variables excedentes (surplus) son similares a la de holgura pero con la diferencia que se presentan en las ecuaciones con signo > y deben sumarse al requerimiento establecido. Por ejemplo, en la ecuación de ENm, se estableció las siguiente ecuación:
Durante la solución del modelo del Cuadro 12.14, obtenemos una variables excedente de 1.5 Mcal, por lo que la ración tendría:
En caso de que el resultado de cualquier ecuación (< ó >) quede en el requerimiento establecido, no parecerá ninguna variable de holgura o excedente. Obviamente las ecuaciones con signo de igualdad no puede tener excedentes u holguras, puedes la solución es exacta. Con relación a las variables artificiales, éstas son generadas en el proceso de solución del método Simplex y no afectan ninguno de los resultados. En resumen, la información requierida para la elaboración de un modelo es la siguiente:
1.Costo de los ingredientes disponibles.
2.Nutrimentos de los ingredientes (laboratorio o tablas).
3.Requerimientos (modificaciones particulares).
4.Límites fisiológicos de los alimentos (investigación).
5.Límites prácticos (almacen, mezclado).
6.Elaboración del modelo.
Resultados
Una vez que se cuenta con el modelo elaborado (Cuadro 12.15) se utiliza algún programa y una computadora para soluciones el modelo. Existen en el mercado algunos programas que cuentan con base de datos y análisis de ingredientes. Se recomienda que cada persona elabore su propio modelo de acuerdo a sus necesidades y con base a sus criterios. Además, en la mayoría de las universidades, se pueden usar estos programas y no se requiere una erogación por la compra de un programa comercial.
Lo primero que se debe hacer es analizar la matriz y checar si existen ingredientes que puedan aportar los nutrientes establecidos. Para esto se compara si existen ingredientes con contenidos mayores y menores al requerimiento. Por ejemplo, si se observa la hilera de la ENg veremos que hay ingredientes cuyo aporte energético es menor (rastrojo de maíz) o mayor al requerimiento (sorgo, melaza). Asimismo, la transferencia de datos y signos a la computadoras debe hacerse con precaución. Errores de tecleo pueden acarrear pérdida de tiempo y problemas para obtener una solución factible. Por ejemplo, si se teclean mal los signos mayor (>) o menor (<) en dos ecuaciones no existiría solución matemática. Por ejemplo, supongamos que se cambian los límites de la gallinaza de esta forma:

No existe solución a estas dos ecuaciones y es difícil encontrar estos problemas una vez que se han introducido los datos a la computadora. Este es uno de los principales errores en los que incurren los estudiantes al iniciar sus primeros ensayos con la programación lineal. Otro problema común es el error en puntos decimales o en números. Imagínese que en lugar de teclear un requerimiento de 0.35% de P se teclea 3.5 5, la ecuación quedaría así:

Esta ecuación no tendría solución factible pues ningún ingrediente tiene más de 3.5% de fósforo. Este problema puede ocurrir con ingredientes, y en algunos casos estos pueden causar toxicidades. Por ejemplo, si se incluyera urea en la ración y en lugar de limitar a 1.5% se limita a 15%, la ración puede causar la mortalidad de un gran número de animales. Usando la información del Cuadro 12.14 y con cualquier computadora con programación lineal (Excel, Lindo, etc. ) se obtiene la solución. La ración (en base seca) que cubre las especificacione se presenta en el Cuadro 12. 15. La función objetivo (costo por kg de la ración) es de 302.72

Posteriormente se analizan las variables de holgura y excedente para conocer en qué niveles de nutrimentos se encuentra la ración (Cuadro 12.16). En aquellos nutrientes en los que no hubo varables artificiales, el aporte de la ración está en el valor establecido. Por ejemplo, el volumen en 1 kg, ENg estaría en 0.8 MCal/kg, la gallinaza (máximo) en 0.30 y la melaza (máximo) en 0.15 kg/kg de ración.
Con esta información y con las restricciones se puede saber el contenido de nutrientes de la ración, recordando que las varible de holgura se resta a la constante requerimientos o nivel establecido y la de excedente se suma:
Generalmente, en la salida de los programas, se presenta información que puede ser importante para tomar decisiones económicas y/o nutricionales. Desde el punto de vista nutricional proporciona los costos por cambio de nutriente y los niveles máximos y mínimos de nutriementos y alimentos que pueden ser modificados con las restricciones señaladas. Para el caso de la ración formulada los nutrientes aportados se muestran en el Cuadro 12.17. Dentro de los resultados, existen algunos valores exponenciales que no tiene significado biológico; sin embargo, otro valores máximos y mínimos son de utilidad.

Por ejemplo, suponga que se quiere incrementar el contenido de proteína de 11 a 11.5%, de acuerdo al resultado no existe ningún problema para incrementar la proteína ya que ésta puede llegar a un máximo de 11.87%. Cabe mencionar que éstos son máximos y mínimos bajo estas restricciones y con esos ingredientes, pero que al modificar las restricciones, requerimientos, ingredientes o aporte nutricionales de los mismos, se genera una nueva información de máximos y mínimos. Esta información es muy útil para el que se inicia con formulación de raciones por medio de la programación lineal, pues se puede lograr la mejor ración a partir de los límites, obteniendo soluciones factibles del modelo. Cuando la solución no incluye una alimento, la solcuión proporciona el precio sombra de ingredientes no incluidos en la solución por su costo. En este caso no existe el precio sombra; sin embargo, se ejemplifica en la sección de ejercicios.
Ecuaciones especiales
Es posible plantear una serie de condiciones deseadas en programación lineal a partir de restricciones especiales.
Proporción de nutrientes
Desde el punto de vista nutricional en ocasiones es conveniente mantener la proporción entre ciertos nutrientes, como pueden ser la ralación de calcio–fósforo, energía-proteína, nitrogeno–azufre (cuando se utiliza urea en la ración), a continuación se muestra un ejemplo de cómo se plantean dichas proporciones. Supongamos que se desea mantener la relación Ca:P en una proporción de 2:1 en la siguiente matriz extractada del Cuadro 12.14:
Primero asignamos variables a los requeriminetos añadiendo más ecuaciones. X5 para el de calcio y X6 para el de fósforo, entonces:
Posteriormente los incluimos en las ecuaciones:
Para poder solucionar las ecuaciones necesitamos dejar las incógnitas de las siguiente forma:
Ahora necesitamos una ecuación donde se considere la realación de Ca:P de 2:1, la cual se plantea de la siguiente manera:
Entonces:
Esta última ecuación se debe integrar al modelo, de tal manera que presentado en la forma canónica se muestra en el Cuadro 12.18.
Es muy sencillo manejar proporciones ente los ingredientes. Por ejemplo supongamos que queremos utilizar cebada (X1) y sorgo (X2) en una relación de 3 a 1 debido a sus características fermentativas para obtener los efectos asociativos. La ración tiene rastrojo de maíz (X3) y paja de trigo (X4) como forrajes y se desea que la ración tenga al menos 20% de forrajes. Entonces las ecuaciones serían:
Para definir las proporciones:
Entonces
Las ecuaciones del modelo serían:
Otras ecuaciones
Existen múltiples posibilidades en la elaboración de ecuaciones, las cuales pueden ser propuestas por cada usuario. Lo único que se requiere es poder plantear en términos algebráicos la ecuación. Es recomendable que el lector revise modelos de otras áreas diferentes a las de la producción animal para que tome nuevas ideas. Por ejemplo se pueden plantear ecuaciones para elaborar premezclas minerales, se pueden plantear modelos que incluyan la formulación de varias etapas fisiológicas a la vez, considerando la capacidad de almacenaje de una planta de alimentos y otros.
Parte del Libro "Alimentación de ganado bovino con dietas altas en grano" ISBN: 978-607-28-1031-0