Explorar

Anunciar en Engormix

Biomasa forrajera y degradabilidad in situ de los pastos Saboya (Panicum maximun) y Brachiaria (Brachiaria decumbens), en tres estados fenológicos, en el cantón La Concordia, provincia Santo Domingo de los Tsáchilas, Ecuador

Publicado: 22 de junio de 2015
Fuente: Darwyn A. Tinitana. Ingeniero Agropecuario, Especialista Nutrición de Rumiantes de la Universidad Estatal de Quevedo, Docente investigador de la Universidad Autónoma de los Andes Extensión Santo Domingo. Juan H. Avellaneda. Ingeniero Zootecnista, Doctor en Nutrición Animal del Colegio de Postgraduados de los Estados Unidos Mexicanos, Facultad de Ciencias Pecuarias de Universidad Estatal de Quevedo. José M. Aguilar, Doctor en Medicina Veterinaria, Master en Salud Animal de la Universidad de Chile.
Resumen

En el experimento 1, se evaluó el efecto de la edad (E) y la especie (S) sobre la biomasa forrajera (BF) (kg MS ha-1 ) y composición química de Panicum maximum (P) y Brachiaria decumbens (B) cortados a los 20, 30 y 40 días. Se empleó un diseño de parcelas divididas. La parcela grande fue la especie, y la parcela pequeña la edad de corte. Los tratamientos evaluados fueron: T1 = P 20 d, T2 = P 30 d, T3 = P, 40 d, T4 = B 20 d, T5 = B 30 d, T6 = B 40 d. La BF (kg MS ha-1 ) se incrementó significativamente (p<0.05) con la edad. La cantidad de MS de las especies a 40 d fue superior a 20 y 30 d (p<0.05). No hubo diferencias estadísticas (p>0.05) entre especies. Los rendimientos de MS se ajustaron a un modelo cuadrático. En el experimento 2, se evaluó la degradabilidad in situ MS, MO y MI de los tratamientos: T1 = P 20 d, T2 = P 30 d, T3 = P, 40 d, T4 = B 20 d, T5 = B 30 d, T6 = B 40 d, a 12, 24 y 48 horas de incubación ruminal. Se utilizó un DBCA con arreglo factorial 2 x 3 (especie * edad), el criterio de bloque fue el animal fistulado. La degradabilidad in situ de la MS, MO y MI disminuyó al aumentar la edad, pero se incrementó con el tiempo de permanencia en el rumen. La MS, MO y MI presentaron diferencias (p<0.05) entre edades a las 12, 24 y 48 h. La mayor tasa de desaparición fue a los 20 d y la menor a los 40 d. Entre especies no fue significativa (p<0.05) la digestibilidad in situ de la MS y MO a 12 y 24 h, mientras que a 48 h presentó diferencias (p<0.05) siendo P. maximun el mejor. El efecto de las especies en la degradabilidad de MI fue significativa (p<0.05) a 12, 24 y 48 h, P. maximum fue superior a B. decumbens. La BF (kg MS ha-1 ) aprovechable a 48 h de incubación no fue significativa (p<0.05) a 20 y 30 d, excepto a 40 d. En la estimación por número de cortes tanto la Saboya como la Brachiaria de 20 d produjeron la mayor cantidad de forraje aprovechable (t MS ha-1 año-1 ).

 

Palabras claves: Biomasa forrajera, Panicum, Brachiaria, composición química, degradabilidad, in situ, incubación ruminal, materia seca, materia orgánica, materia inorgánica, forraje aprovechable.

 

INTRODUCCION
Los pastos introducidos como Saboya (Panicum maximum) y la Brachiaria (Brachiaria decumbens), constituyen una fuente barata de alimento para el ganado de carne y leche del trópico ecuatoriano. Estas dos especies forrajeras son las más difundidas por su gran adaptabilidad a las condiciones climáticas y por su resistencia al pastoreo, sin embargo, generalmente se desconoce su aporte nutricional.
Por lo cual, de acuerdo con lo que sostiene Bochi-Brum (1999), el conocimiento de la digestibilidad de los alimentos es fundamental para establecer su valor nutritivo y por tanto, para la formulación de dietas para rumiantes. La técnica in situ o de bolsa de nylon, permite evaluar la degradabilidad de diferentes especies de forrajes y mejorar la comprensión de los procesos fermentativo en el rumen (Orskov et al., 1980).
Por ello el objetivo de este estudio fue determinar el rendimiento de biomasa forrajera (BF) y la degradabilidad in situ de la Materia Seca (MS), Orgánica (MO) e Inorgánica (MI) de los pastos Saboya (Panicum máximum) y Brachiaria (Brachiaria decumbens) cortados a los 20, 30 y 40 días.
 
MATERIALES Y MÉTODOS
La investigación comprendió dos ensayos: el primero consistió en la determinación de la biomasa forrajera de los pastos P. máximum y B. decumbens en tres estados fenológicos (20, 30, 40 d), en el cantón La Concordia, provincia de Santo Domingo de los Tsáchilas, entre noviembre del 2010 y mayo del 2011, correspondientes a la época lluviosa; y el segundo sobre la digestibilidad in situ de las especies del experimento 1, a tres tiempos de incubación ruminal (12, 24 y 48 h).
Experimento 1
Se utilizó un diseño en parcelas divididas, con cuatro repeticiones. A las especies se les asignó a la parcela principal y las edades a las subparcelas. Los promedios de los tratamientos fueron comparados usando la prueba de Tukey al 5% de probabilidad. Para el efecto se utilizó el programa estadístico InfoStat (2011). El modelo matemático fue: Yijk = μ + Ei + δij + Vj + EVij+ ?ijk, donde: Yijk = Total de una observación, μ = Media general, Ei = Efecto del factor de la parcela principal (especie), δij = Error experimental asociado a la parcela principal (error a), Vj = Efecto del factor de la subparcela (edad de rebrote), EVij = Interacción entre los pastos y las edades, ?ijk = Error experimental asociado a la subparcela (error b). Los tratamientos estudiados fueron: T1 = Panicum 20 d, T2 = Panicum 30 d, T3 = Panicum, 40 d, T4 = Brachiaria 20 d, T5 = Brachiaria 30 d, T6 = Brachiaria 40 d.
La parcela principal fue de 21.6 m2 dividida en tres subparcelas para estudiar las edades. Los pastos sembrados a 0.4 x 0.4 m se manejaron con deshierbas manuales y sin fertilización. Para evaluar la biomasa forrajera a los 20, 30 y 40 d, se efectuó un corte sistemático de igualación a las subparcelas. La cosecha del forraje fue a 15 cm del suelo y la determinación de la MS fue a 60 °C por 48 horas. Formando un pool con las repeticiones de las edades de corte de cada especie y mediante análisis proximal se determinó la composición química de la biomasa forrajera, tal como se muestra en Cuadro 1.
Experimento 2
Se aplicó un diseño de bloques completamente al azar en arreglo factorial 2 x 3 (especie * edad). Se evaluó la degradabilidad in situ de la Materia Seca (MS), Orgánica (MO) e Inorgánica (MI) a tres tiempos de incubación ruminal (12, 24 y 48 h) en las especies y fenologías estudiadas en el experimento 1. Se usó como criterio de bloque al animal fistulado. La medias de los tratamientos fueron comparados usando la prueba de Tukey al 5% de significancia. El modelo matemático, fue: Yijk = µ + αi + δ k + (αδik) + βj + Eijk, donde: Yijk = Total de una observación, µ = Media de la población, α1 = Efecto del factor A (especies), δk = Efecto del factor B (edad de rebrote), αδik = Efecto de la interacción entre los niveles de los factores A y B, βj = Efecto de bloque (animal fistulado), Eijk = Error experimental.
Se emplearon tres bovinos de raza Brahman con fístula ruminal, con peso vivo aproximado 420 kg. Se usó bolsas de nylon marca Ankon (22 x 11 cm) con 50 µm de porosidad. Se pesó 7 g de pasto triturado en molino tipo Willey con criba de 2 mm. Las bolsas, se sellaron con ligas y se ataron a cadenas de acero inoxidables (una por animal) de 50 cm de largo (1/4”); se dispusieron 18 bolsas, una por cada especie y edad. El proceso de incubación se inició con la introducción de las bolsas de mayor tiempo de incubación (48 h), finalizando las de menor permanencia (12 h) dentro del rumen.
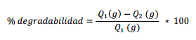
Las bolsas fueron retiradas del rumen y sumergidas en agua fría por 5 minutos y después lavadas hasta que el agua de enjuague quedó aparentemente limpia. Las bolsas se secaron al ambiente durante tres días, antes de ser llevadas a la estufa. Los porcentajes de degradabilidad de la MS, MO y Cenizas, se calcularon mediante la siguiente expresión:
 
Biomasa forrajera y degradabilidad in situ de los pastos Saboya (Panicum maximun) y Brachiaria (Brachiaria decumbens), en tres estados fenológicos, en el cantón La Concordia, provincia Santo Domingo de los Tsáchilas, Ecuador - Image 1
 
Donde: Q1 = Cantidad inicial antes de la incubación ruminal, Q2 = Cantidad residual después de incubación ruminal
 
Cuadro 1. Composición química de P. maximun y B. decumbens en tres edades de corte
Biomasa forrajera y degradabilidad in situ de los pastos Saboya (Panicum maximun) y Brachiaria (Brachiaria decumbens), en tres estados fenológicos, en el cantón La Concordia, provincia Santo Domingo de los Tsáchilas, Ecuador - Image 2
 
RESULTADOS Y DISCUSION
Biomasa forrajera
El rendimiento de MS se incrementó significativamente (p<0,01) con la edad de los pastos. Los promedios a 40 días de edad, fueron estadísticamente superiores a los obtenidos a 20 y 30 días (p<0.05) en las dos especies.
No se detectaron diferencias estadísticas (p>0.05), entre especies, ni en la interacción especie por edad. La biomasa promedio producida fue: 437.31, 543.31 y 883.57 kg de MS ha-1 en Saboya y 494.56, 739.13 y 927.67 kg de MS ha-1 en Brachiaria a los 20, 30 y 40 días respectivamente.
Los rendimientos de MS se ajustaron a ecuaciones de regresión cuadrática para las dos especies (Gráfico 1). Esto concuerda con Verdecia et al., (2008) y Ramírez et al. (2010), que observaron que el rendimiento de materia seca se incrementó significativamente (p<0.01) con la edad de rebrote y se ajustaron ecuaciones de regresión cuadrática para los dos períodos (lluvioso y poco lluvioso) entre el rendimiento y la edad.
Ramírez et al. (2010), manifiestan que, el incremento del rendimiento con la edad puede deberse principalmente al aumento del proceso fotosintético y con ello la síntesis de carbohidratos estructurales, lo que trae consigo acumulación de materia seca, influyendo de forma directa los factores edafoclimáticos predominantes.
 
Figura 1. Estimación para el efecto cuadrático del factor edad en la producción de materia seca de P. maximun J y B. decumbens, a tres edades de corte
Biomasa forrajera y degradabilidad in situ de los pastos Saboya (Panicum maximun) y Brachiaria (Brachiaria decumbens), en tres estados fenológicos, en el cantón La Concordia, provincia Santo Domingo de los Tsáchilas, Ecuador - Image 3
 
Degradabilidad in situ de la MS
La edad produjo un efecto significativo (p<0,05) sobre la degradabilidad in situ de la MS de las dos especies forrajeras. A medida que aumentó el estado de madurez de los pastos, la tasa de desaparición disminuyó (Cuadro 2). El mismo comportamiento se observó en estudios realizados por Avellaneda et al., (2008), Homen et al., (2010) en P. maximum, y Vega et al., (2006) en B. decumbens.
La disminución de la degradabilidad de la MS, puede ser explicada por el aumento de fracciones indigeribles en los pastos, que pueden variar por efecto de la composición del pasto, que a su vez dependen de factores como: tipo de especies, madurez, nivel de fertilización, suelo y tipo de condiciones climáticas (Pullido y Leaver, 1998). Verdecia et al., (2008) sostienen que la reducción de la degradabilidad de la MS con el aumento de la edad está influenciada por el crecimiento de la planta, lo que trae consigo un engrosamiento de la pared celular, fundamentalmente de la pared primaria, lo que reduce el espacio intercelular donde se encuentran los nutrientes.
Las dos especies produjeron efecto significativo en la degradabilidad de la MS, a las 48 horas de incubación (P. maximun 71%, B. decumbens 67%); mientras que a las 12 y 24 horas el efecto de las especie en la degradabilidad fue igual (p>0,05), probablemente porque ese tiempo no fue suficiente para cambiar esa variable u observar posibles cambios (Cuadro 3).
Noguera y Posada (2007), sostienen que durante el proceso de incubación hay un periodo donde ninguna o una reducida degradación del alimento ocurre, que es conocido como tiempo de colonización (lag fase), el cual es específico en cada especie.
Resultados superiores al 50% de degradabilidad para estas especies a 48 horas de incubación ruminal, han sido señalados por Arreaza et al., (2004), Razz et al., (2004) y Homen et al. (2010 a.b). Estos niveles de degradabilidad son considerados buenos para consumo animal (Milford 1967 citado por Homen et al., 2010 a.b).
En forma general la degradabilidad aumentó con el tiempo de permanencia en el rumen en las tres edades de corte. De igual modo Navarro et al., (2001), al comparar la técnica de digestibilidad in vitro con la in situ de diez forrajes en bovinos ruminofistulados, hallaron que la degradabilidad aumentó a medida en que se incrementó el tiempo de incubación ruminal. Esta tendencia se repite con lo reportado por Rosero y Salazar (2009), al evaluar la digestibilidad in vitro aparente y verdadera de la planta completa de B. decumbens, en cuatro edades de corte y seis tiempos de incubación.
 
Cuadro 2. Efecto de la edad (días) en la degradabilidad (%) de la MS, MO y MI de las especies P. maximun y B. decumbens, a tres tiempos de incubación ruminal.
Biomasa forrajera y degradabilidad in situ de los pastos Saboya (Panicum maximun) y Brachiaria (Brachiaria decumbens), en tres estados fenológicos, en el cantón La Concordia, provincia Santo Domingo de los Tsáchilas, Ecuador - Image 4
 
La interacción especie por edad fue significativa (p<0.05) a 48 horas de incubación. La degradabilidad de P. maximum a 30 y 40 días de edad fue superior a las degradabilidad de B. decumbens a las mismas edades. Esto demuestra la consistencia de la respuesta de las especies a los niveles del factor edad.
 
Cuadro 3. Efecto de dos especies tropicales sobre la degradabilidad (%) in situ la MS, MO y MI a 12, 24 y 48 horas de incubación ruminal
Biomasa forrajera y degradabilidad in situ de los pastos Saboya (Panicum maximun) y Brachiaria (Brachiaria decumbens), en tres estados fenológicos, en el cantón La Concordia, provincia Santo Domingo de los Tsáchilas, Ecuador - Image 5
 
Degradabilidad in situ de la MO
La tasa de desaparición de la MO se reduce con el tiempo de cosecha. Se detectó diferencias (p<0.05) a las 12 y 24 horas de incubación ruminal, sin embargo a 48 horas los valores de degradabilidad fueron iguales en las tres edades (Cuadro 2). Al igual que en la MS, la disminución de degradabilidad de la MO, tiene relación con la estructura de la pared celular que cambia con la madurez de planta, como ya se explicó anteriormente.
La degradabilidad de la MO de las dos especies a 12 y 24 h de incubación, fue igual (p>0.05) en las tres edades de corte, excepto a las 48 horas donde P. maximun fue superior a B. decumbens (Cuadro 3). Aunque el análisis proximal de las dos especies no revela grandes diferencias en su composición nutricional (Cuadro 1), el hecho de que P. maximum se haya degradado con mayor intensidad que B. decumbens a 48 h, puede estar relacionado por la cantidades de celulosa o almidón resistentes a la degradación (en el rumen), que tiene en particular cada especie lo cual depende de la naturaleza de los alimento (Aron, 1988). La degradabilidad de la MO reportadas en esta investigación, no difieren en gran medida por las reportadas por Verdecia et al., (2008).
Degradabilidad in situ de la MI
La edad produjo diferencias significativas (P<0.05) en la degradabilidad de MI en los tres tiempos de incubación. A medida que aumento la edad disminuyó la tasa de desaparición, pero P. maximun se degradó con mayor intensidad que B. decumbens (Cuadro 2). La interacción especie por edad, fue significativa a 12 h (p<0.01) y a 48 h (p<0.05). A 40 días la degradabilidad P. maximum aumenta y de B. decumbens disminuye.
La degradabilidad por efecto de las especies fue significativa a 12 y 24 h (p<0.05) y 48 h (p<0.01) (Cuadro 3). En el pasto Saboya hasta 53% desaparece a las 12 h y otro 12% a las 48 h, en cambio en la Brachiaria el 51% de la MI se degrada en las 12 h iniciales y el 6% restante a 48 h. Este comportamiento posiblemente esté relacionado con la cantidad y tipo de minerales de la MI de los pastos. El contenido mineral ligado a la pared celular se degrada en menor proporción que aquellos que se encuentran en el citoplasma de las células vegetales, sin embargo, el rumen constituye el sitio de mayor liberación (Correa et al., 2008). Ciria et al., (2005), sostienen que la composición mineral estaría asociado a caracteres específicos de las plantas y su respuestas a los tipos de suelo, fenología, partes de la planta y climatología.
Biomasa aprovechable a 48 horas de incubación ruminal
La biomasa aprovechable después de aplicar la tasa de degradabilidad a 48 horas de incubación ruminal, no fue significativa a 20 y 30 días de madurez de los pastos; mientras que a 40 días esta fue superior (p<0.05) a la obtenida con las otras edades (Cuadro 4)
 
Cuadro 4. Efecto de la edad sobre la producción de biomasa aprovechable (kg MS ha-1 corte-1 ) de P. maximun y B. decumbens, a 48 horas de incubación ruminal
Biomasa forrajera y degradabilidad in situ de los pastos Saboya (Panicum maximun) y Brachiaria (Brachiaria decumbens), en tres estados fenológicos, en el cantón La Concordia, provincia Santo Domingo de los Tsáchilas, Ecuador - Image 6
 
Entre especies la biomasa degradable fue igual (p<0,05) (Cuadro 5). No hubo consistencia de la respuesta de la biomasa aprovechable de las especies, con los las edades de corte.
 
Cuadro 5. Efecto de las especies sobre la producción de biomasa aprovechable (kg MS ha-1 corte-1 ) de P. maximun y B. decumbens, a 48 horas de incubación ruminal
Biomasa forrajera y degradabilidad in situ de los pastos Saboya (Panicum maximun) y Brachiaria (Brachiaria decumbens), en tres estados fenológicos, en el cantón La Concordia, provincia Santo Domingo de los Tsáchilas, Ecuador - Image 7
 
En el cuadro 6, se presenta la estimación de la biomasa aprovechable por edad y por especie, en función del número de corte por año. A los 20 días de corte en las dos especies forrajeras presentarían la mayor cantidad de biomasa aprovechable.
 
Cuadro 6. Estimación de la producción de Biomasa aprovechable (t MS ha-1 ), aplicando la tasa de degradabilidad a 48 h de incubación ruminal en las especies de P. maximun y B. decumbens
Biomasa forrajera y degradabilidad in situ de los pastos Saboya (Panicum maximun) y Brachiaria (Brachiaria decumbens), en tres estados fenológicos, en el cantón La Concordia, provincia Santo Domingo de los Tsáchilas, Ecuador - Image 8
 
CONCLUSIONES
La fenología influyó sobre la producción de biomasa forrajera. A mayor edad mayor rendimiento de forraje en MS. Entre especies los rendimientos fueron iguales y se ajustaron a un modelo de regresión cuadrático.
La degradabilidad de la MS, MO y MI disminuyeron con el estado madurez de los pastos, sin embargo, la degradabilidad de estas fracciones aumentaron cuanto mayor fue el tiempo de permanencia en el rumen. El pasto Saboya tiende a degradarse con mayor intensidad que la Brachiaria a 48 h de incubación ruminal. A 12 y 24 h de incubación no se observó cambios significativos entre especies. En algunas edades y tiempos de permanencia en el rumen, la interacción especie por edad fue significativa, demostrando que estos factores actúan recíprocamente en la respuesta de la degradabilidad.
La biomasa aprovechable a 48 h de incubación en los pastos estudiados fue significativa a los 40 días de edad. No hay suficientes evidencias estadísticas para afirmar que la cantidad de biomasa aprovechable entre especies es diferente, de igual modo para demostrar que existe una consistencia de respuesta de las especies a la fenología.
En función del número de cortes por año, a 20 días las dos especies producen mayor cantidad de biomasa aprovechable después de 48 h de incubación.
 
LITERATURA CITADA
Arreaza, L., D. Sánchez y Abadía, B. 2004. Degradabilidad ruminal de fracciones de carbohidratos en forrajes tropicales determinada por métodos in vitro e in situ. Revista CORPOICA, v. 6, n. 1
Avellaneda, J., F. Cabezas, G. Quintana, R. Luna, O. Montañez, I. Espinoza, S. Zambrano, D. Romero, J. Vanegas y E. Pinargote. 2008. Comportamiento agronómico y composición química de tres variedades de Brachiaria en diferentes edades de cosecha. Ciencia y Tecnología 1: 87-94.
Bochi-Brum, O., M. Carro, C. Valdés, J. González y S. López .1999. Digestibilidad in vitro de forrajes y concentrados: efecto de la ración de los animales donantes de líquido ruminal. Arch. Zootec. 48: 51-61.
Cauro, M., B. Gonzáles, F. Araujo y J. Vergara. 2004. Composición Química y Digestibilidad in vitro de tres cultivares de Guinea (Panicum maximun jacq) a tres edades de corte en bosques seco tropical. In: XII Congreso Venezolano.
Ciria, J., R. Villanueva y G. Ciria. 2005. Avances en nutrición mineral en bovinos. IX Seminario de Pastos y Forrajes.
Church, D. y W. Pond. 2012. Fundamentos de nutrición y alimentación de animales. México: Ed. Limusa Wiley, 2 ed. 101 p.
Correa H. 2009. Estimación de la degradabilidad efectiva en el rumen mediante métodos numéricos. Revista Facultad Nacional de Agronomía - Medellín, vol. 61, núm. 2. pp. 4654-4657
Correa, H., R. Pabón y F. Carulla. 2008. Valor nutricional del pasto kikuyo (Pennisetum clandestinum Hoechst Ex Chiov.) para la producción de leche en Colombia (Una revisión): I - Composición química y digestibilidad ruminal y posruminal. Livestock Research for Rural Development. Volume 20, Article #59. Retrieved November 6, 2012, from http://www.lrrd.org/lrrd20/4/corra2 0059.htm
Cuadrado, H., L. Toregroza y J. Garcés. 2005. Producción de carne con machos de ceba en pastoreo de pasto hibrido mulato y Brachiaria decumbens en el valle del Sinú. Revista MVZ Córdoba, 10:(1):573- 580
ECURRED, 2011. Pastos y Forrajes. (En línea) http://web.supernet.com.bo/sefo/G ramineas2/Decumbens. (Consultado 22 de julio del 2011)
Gerdes, L., C. Werner, T. Colozza, R. Possenti y E. Schammass. 2000. Avaliacao de características de valor nutritvo das gramineas forrageiras Marandu, Setaria e Tanzania nas estacoes do ano. Rev. Bras. Zooctec. 29(4):947-954.
Giraldo, L, L. Gutiérrez y C. Rúa. 2007. Comparación de dos técnicas: in vitro e in situ para estimar la digestibilidad verdadera en varios forrajes tropicales. Revista Colombiana de Ciencias Pecuarias; 20: 269-279
Homen, M., I. Entrena y L. Arriojas. 2010a. Biomasa y valor nutritivo de tres gramíneas forrajeras en diferentes períodos del año en la zona de bosque húmedo tropical, Barlovento, estado Miranda. Revista Zootecnia Tropical. 28(1): 115-127
Homen, M., I. Entrena, L. Arriojas y M. Ramia. 2010b. Biomasa y valor nutritivo del pasto Guinea Megathyrsus maximus (Jacq.) B. K. Simon & S. W. L. Jacobs. ?Gamelote’ en diferentes períodos del año en la zona de bosque húmedo tropical, Barlovento, estado Miranda. Zootecnia Trop., 28(2): 255-265
INEC. 2011. Instituto Nacional de Estadísticas y Censos. Datos estadísticos Agropecuarios. Sistema Estadístico Agropecuario Nacional (SEAN). Resumen ejecutivo. ESPAC. 2002-2011.
INFOSTAT. 2011. Grupo InfoStat, FCA, Universidad Nacional de Córdoba, Argentina. URL http://www.infostat.com.ar
Juárez, R., A. Cerrillo, M. Gutiérrez, E. Romero, E. Colín, J. y H. Bernal. 2009. Estimación del valor nutricional de pastos tropicales a partir de análisis convencionales y de la producción de gas in vitro. Técnica Pecuaria en México, 47, 55- 67.
Navarro, C., J. Díaz, M. Roa y E. Cuellar. 2011. Comparación de la técnica de digestibilidad in vitro con la in situ de diez forrajes en bovinos ruminofistulados en el piedemonte llanero del Meta. Revista Sistemas producción agroecológicos. [en línea] v.2, n. 2. ): [fecha de consulta: 19 de agosto de 2012] Disponible: http://www.sistemasagroecologicos. co/art3/PRIMER%20ARTICULO%20C ESAR.pdf
Noguera, R y S. Posada. 2007. Modelación de la cinética de degradación de alimentos para rumiantes. Revista Colombiana de Ciencias Pecuarias; 20:174-182
León, R. 2003. Pastos y Forrajes. Producción y manejo. QuitoEdiciones científicas. (1 th Ed). p. 12,163.
Lobo, M. 2007. Editorial Universidad Estatal a Distancia (En línea) http//www.uned.ac.cr/inglés/PMD/r ecursos/cursos/agrostologia/files/10 4.htm (Consultado 27 de julio del 2012)
Orskov ER, DeB Hovell FD y Mould F. 1980. The use of the nylon bag technique for the evaluation of feedstuffs. Trop Anim Prod; 5:195
Padilla. C., S. Colom, M. Díaz, D. Cino, y F. Curbelo. 2001. Efecto del intercalamiento de Vigna unguiculata y Zea maiz en el establecimiento de Leucaena leucocephala vc Perú y Panicum maximum vc Likoni. Revista Cubana de Ciencia Agrícola, vol. 35, núm. 2. pp. 167-173
Pardo, N. 2007. Manual de nutrición animal. Bogotá-Grupo Latino. (1th Ed). Pp. 189, 205
Pulido, R y J. Leaver J. 1998. Degradabilidad ruminal del forraje disponible en la pradera y del aparentemente consumido por vacas lecheras. Brasilia, v.35, n.5, p. 1003-1009.
Ramírez, J., D. Verdecia, I. Leonard y Y. Álvarez. 2010. Rendimiento de materia seca y calidad nutritiva del pasto Panicum maximum vc. Likoni en un suelo fluvisol de la región oriental de Cuba. REDVET, v. 11, n. 7
Razz, R., T. Clavero y J. Vergara J. 2004. Cinética de degradación in situ de la Leucaena leucocephala y Panicum maximum. Revista Científica [en línea], XIV (octubre): [fecha de consulta: 19 de agosto de 2012] Disponible en: <http://redalyc.uaemex.mx/redalyc/ src/inicio/ArtPdfRed.jsp?iCve=95914 507> ISSN 0798-2259
Ramos, J., G. Mendoza, E. Ibáñez, C. García y R. Gama. 1995. Caracterización del nitrógeno del pasto estrella con dos sistemas: proteína metabolizable y proteína cruda digestible. Rev. Fac. Agron. (LUZ): 1995,12: 209-220
Rosero, N. y S. Posada. 2007. Modelación de la cinética de degradación de alimentos para rumiantes. Rev Col Cienc. Pec. 2007; 20:174-182
Rosero, J. y M. Salazar. 2009. Cinética de degradabilidad ruminal in vitro de materia seca y fracciones de fibra, en cinco especies de brachiarias y cuatro edades de corte en época lluviosa. Tesis Ing. Zooc. Ecuador. UTEQ. p.18
Torres, G., T. Arbaiza, F. Carcelén y O. Lucas. 2009. Comparación de las técnicas in situ, in vitro y enzimática (celulasa) para estimar la digestibilidad de forrajes en ovinos. Rev Inv Vet Perú. 20 (1): 5-9
Universidad de Florida. (1974). Regression equations to estimate total disgestible nutrients. Disponible: www.fao.org/docrep/X5738E/x5738 e09.htm
Espinosa, V., J. Ramírez, L. Acosta y A. Igarza. 2006. Rendimiento, caracterización química y digestibilidad del pasto Brachiaria decumbens en las actuales condiciones edafoclimáticos del Valle del Cauto. REDVET. Revista Electrónica de Veterinaria, VII.
Verdecia, D., J. Ramírez, I. Leonard, Y. Pascual y Y. López. 2008. Rendimiento y componentes del valor nutritivo del Panicum maximum cv. Tanzania. REDVET. Revista Electrónica de Veterinaria, v. IX, n.5
Villalobos, C., E. Valenzuela y J. Ortega J. 2000.Técnicas para estimar la degradación de proteína y materia orgánica en el rumen y su importancia en rumiantes en pastoreo. Técnica Pecuaria en México V.38, n.002. p. 119-1
Temas relacionados:
Autores:
Darwin Tinitana
UNIANDES Ecuador- Universidad Autónoma de los Andes de Ecuador
UNIANDES Ecuador- Universidad Autónoma de los Andes de Ecuador
Recomendar
Comentar
Compartir
Santiago Eljuri
24 de octubre de 2016
La informaciones sido clave para empezar la ceba en la provincia de Esmeraldas, a 2 horas de donde se hicieron las pruebas. Sin embargo quiero entender de mejor manera este estudio ya que, la BF( kg MS ha ) fue la mas alta a los 40 días, sim embargo en las conclusiones dice que en función del numero de cortes por año a 20 días las 2 especies producen la mayor cantidad de biomasa aprovechable después de 48 h de incubación. Mi pregunta entonces, si es así se debería cortar la Saboya a los 20 días y así al año aprovechar la mayor cantidad de Biomasa aprovechable ???? o seria mejor cortar a los 40 días ??? Los resultados en cantidad de BM son casi iguales anualmente.
Recomendar
Responder
Marcelo Navas
31 de octubre de 2015
Ing buenos días. Como me puedo comunicarme con usted? Mi correo es navasdie@gmail. com
Recomendar
Responder
Profile picture
¿Quieres comentar sobre otro tema? Crea una nueva publicación para dialogar con expertos de la comunidad.
Usuarios destacados en Ganadería
Roberto Tellez
Roberto Tellez
Nutreco
Estados Unidos de América
Justin Sexten
Justin Sexten
Zoetis
Estados Unidos de América
Emilio M. Molle
Emilio M. Molle
Boehringer Ingelheim
Gerente de Marketing Cerdos
Estados Unidos de América