Explorar

Anunciar en Engormix

Optimización del proceso de mezclado en una mezcladora industrial para Alimentos Balanceados: Análisis de formación de Finos y reducción del tiempo de mezcla

Publicado: 21 de febrero de 2026
Fuente: Ing. Carlos José Julio Garcia, Colombia
Resumen

Optimización del proceso de mezclado en alimentos balanceados Se realizó un análisis físico-mecánico y matemático del proceso de mezclado en una mezcladora industrial de 3 toneladas, enfocándose en la generación de finos y la homogeneidad del producto. Mediante el estudio de la dinámica del equipo, la adhesión partícula-líquido y el coeficiente de variación, se desarrolló un modelo que permitió optimizar las condiciones de operación. Los resultados demuestran que es posible reducir el tiempo de mezclado de 6 a 4 minutos sin afectar la calidad del producto, manteniendo la generación de finos dentro de rangos aceptables y mejorando la eficiencia del proceso. Esta optimización representa una mejora directa en productividad, estabilidad del mezclado y control del proceso industrial.

En el proceso de fabricación de alimento para animales de granja, se emplea una mezcladora industrial con una capacidad total de 3 toneladas, diseñada para completar un ciclo de mezcla en 6 minutos. Esta mezcladora cuenta con un eje central de 5 pulgadas de diámetro y 3 metros de longitud, con una profundidad de 1.5 metros. Su mecanismo de mezcla se basa en tres cintas espirales de 1 metro de altura, y el sistema de descarga opera mediante compuertas soportadas por tensores.
Los ingredientes utilizados incluyen 1 tonelada de maíz molido (americano o brasileño), complementado con frijol soya, calcio, harina de pescado, harina de sangre y hueso de pollo y res, sal marina, melaza, soya en polvo, Nutrexcol, Premex, premezclas nutricionales y núcleo. Además, se adicionan tres líquidos esenciales (Inhisalm, Rodhimet y aceite de soya), totalizando 5 kg.
Durante la operación actual, se ha identificado un problema en la calidad de la mezcla:
  • Generación excesiva de finos después de 6 minutos de operación.
  • Deficiente adhesión de las partículas de harina, lo que afecta la homogeneidad del producto final.
El objetivo del estudio es optimizar el proceso de mezclado, reduciendo el tiempo de mezcla a 4 minutos, sin comprometer la calidad ni aumentar la proporción de finos. Para lograr esto, se requiere el desarrollo de un modelo matemático que permita analizar y predecir la formación de finos en función de variables físicas y operativas, a fin de implementar mejoras en la eficiencia del sistema.
La dinámica del movimiento en la mezcladora es clave para entender la eficiencia del proceso de mezcla y la generación de finos. La relación entre el material a mezclar y la cinta espiral se ve influenciada por la velocidad angular del eje, la fuerza centrífuga, la fricción y cohesión de las partículas, así como la geometría de la mezcladora. Este análisis permite establecer los parámetros óptimos de operación y mejorar la calidad del mezclado reduciendo el tiempo de proceso a 4 minutos sin afectar la calidad del producto final.

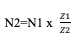
2. Velocidad Angular del Eje
La relación de piñonera del sistema es: 
Optimización del Proceso de Mezclado en una Mezcladora Industrial para Alimentos Balanceados: Análisis de Formación de Finos y Reducción del Tiempo de Mezcla - Image 1
𝑁1 es la velocidad del motor (en rpm).
𝑁2 es la velocidad del eje de la mezcladora (en rpm).
𝑍1: 40; 𝑍2: 60 son los dientes de los engranajes.
Para un motor con rpm: 1750 
Optimización del Proceso de Mezclado en una Mezcladora Industrial para Alimentos Balanceados: Análisis de Formación de Finos y Reducción del Tiempo de Mezcla - Image 2
La velocidad angular en radianes por segundo:
Optimización del Proceso de Mezclado en una Mezcladora Industrial para Alimentos Balanceados: Análisis de Formación de Finos y Reducción del Tiempo de Mezcla - Image 3
Este valor define la velocidad con la que las partículas son transportadas dentro de la mezcladora y tiene un impacto directo en la calidad de mezcla y la generación de finos.


3. Recinto y Soporte de la Compuerta
La compuerta de descarga de la mezcladora está soportada por 8 brazos tensores, los cuales deben soportar las cargas estáticas y dinámicas durante la operación. El análisis de cargas se realiza considerando el peso total de la mezcla y las reacciones en los puntos de apoyo.
Para una carga total de kg distribuida uniformemente, cada brazo tensor soporta
Optimización del Proceso de Mezclado en una Mezcladora Industrial para Alimentos Balanceados: Análisis de Formación de Finos y Reducción del Tiempo de Mezcla - Image 4
Cada brazo tensor está sometido a esfuerzos de tracción, por lo que se debe verificar su resistencia a la carga aplicada.


4. Resistencia de Materiales en los Tensores
Dado que los tensores están sometidos a carga axial, se aplica la ecuación de esfuerzo normal:
Optimización del Proceso de Mezclado en una Mezcladora Industrial para Alimentos Balanceados: Análisis de Formación de Finos y Reducción del Tiempo de Mezcla - Image 5
Si el material del tensor es acero estructural con un límite elástico de 250 MPa, el coeficiente de seguridad es:
Optimización del Proceso de Mezclado en una Mezcladora Industrial para Alimentos Balanceados: Análisis de Formación de Finos y Reducción del Tiempo de Mezcla - Image 6

5. Adhesión
La adhesión de partículas en la mezcla está influenciada por la cohesión del material en polvo y la interacción con los líquidos añadidos. La energía superficial de las partículas de harina de pescado, harina de sangre y calcio es baja, lo que dificulta su adherencia a los componentes más grandes como el maíz y la soya molida. La ecuación de adhesión para partículas en un flujo dinámico se describe como:
Optimización del Proceso de Mezclado en una Mezcladora Industrial para Alimentos Balanceados: Análisis de Formación de Finos y Reducción del Tiempo de Mezcla - Image 7
  • ϒ es la energía de adhesión del material (N/m)
  • A es el área de contacto efectiva.
  • D distancia de partículas 
  • D1 es la distancia de referencia de interacción.
El modelo de Johnson-Kendall-Roberts (JKR) es un modelo utilizado para describir la interacción entre partículas cuando entran en contacto debido a las fuerzas de adhesión a nivel molecular, como las fuerzas de Van der Waals y las interacciones de enlaces químicos a pequeña escala.
Optimización del Proceso de Mezclado en una Mezcladora Industrial para Alimentos Balanceados: Análisis de Formación de Finos y Reducción del Tiempo de Mezcla - Image 8
  • Υ, 0.05 j/m2
  • R, 1 x 10-5m
  • δ, 5 x 10-6m
𝐹𝑑ℎ = 0.4743 𝑁
La fuerza normal entre dos partículas se puede calcular a partir de la presión aplicada y el área de contacto. Para partículas pequeñas y esféricas, se puede aproximar como:
Optimización del Proceso de Mezclado en una Mezcladora Industrial para Alimentos Balanceados: Análisis de Formación de Finos y Reducción del Tiempo de Mezcla - Image 9
  • E = 1 x 109Pa
𝐹𝑛 = 1.88 𝑥 104 𝑁
La fuerza de adhesión y la fuerza normal entre las partículas de harina pueden crear un momento de rotación cuando las partículas se adhieren a las superficies internas de la mezcladora. Este momento puede generar aglomerados o la formación de finos. Sin embargo, el momento también puede ser moderado si se optimiza la velocidad y las condiciones de la mezcla.
𝑀𝑑ℎ = 𝐹𝑠ℎ.𝑅 = 4.743 𝑥 10−6𝑁𝑚
Estos cálculos muestran cómo las fuerzas de adhesión entre las partículas afectan la calidad de la mezcla. Las fuerzas de adhesión relativamente grandes pueden hacer que las partículas se agruparán, lo que puede ser una de las razones por las que los finos se forman después de 5 minutos. El objetivo sería optimizar las condiciones de mezcla para reducir la influencia de estas fuerzas sin comprometer la calidad de la mezcla.
Optimización del Proceso de Mezclado en una Mezcladora Industrial para Alimentos Balanceados: Análisis de Formación de Finos y Reducción del Tiempo de Mezcla - Image 10
Optimización del Proceso de Mezclado en una Mezcladora Industrial para Alimentos Balanceados: Análisis de Formación de Finos y Reducción del Tiempo de Mezcla - Image 11
La gráfica sugiere que la adhesión de líquido juega un papel importante en la generación de finos. En general, una mayor adhesión de líquido tiende a reducir la generación de finos, excepto en el caso de la Serie 3, donde se observa un comportamiento inverso. Es posible que, en este rango de generación de finos, la adhesión de líquido esté causando un aglutinamiento de las partículas, lo que lleva a una mayor formación de finos.
Además, se observa que el tiempo de mezcla también influye en la generación de finos. En general, un tiempo de mezcla más largo tiende a reducir la generación de finos. Esto sugiere que un tiempo de mezcla más largo permite que las partículas se mezclen mejor y se rompan menos, lo que reduce la formación de finos.
Coeficientes de adhesión estimados en función de la energía superficial de cada material
Optimización del Proceso de Mezclado en una Mezcladora Industrial para Alimentos Balanceados: Análisis de Formación de Finos y Reducción del Tiempo de Mezcla - Image 12
Los coeficientes de variación (CV) mayores al 35% (como en harinas y premix) indican que hay una gran dispersión en los tamaños de partículas, lo que puede afectar la uniformidad de la mezcla.
Las partículas más finas (Premix, harinas y melaza) pueden tener problemas de adhesión, lo que explica la formación de finos después de 6 minutos.
El maíz y la soya tienen tamaños de partícula mayores, lo que hace que su distribución sea más estable, pero pueden influir en la dinámica del mezclado.

Coeficientes de adhesión estimados en función de la energía superficial de cada material
Optimización del Proceso de Mezclado en una Mezcladora Industrial para Alimentos Balanceados: Análisis de Formación de Finos y Reducción del Tiempo de Mezcla - Image 13
Los materiales secos como premix y harinas tienen alta energía superficial, lo que los hace menos propensos a adherirse sin un agente líquido.
La melaza y el aceite de soya tienen baja energía superficial, lo que los hace eficaces para mejorar la adhesión de partículas finas.
El premix tiene el coeficiente de adhesión más alto (0.55), lo que indica que es el más difícil de mezclar uniformemente sin líquidos.
Optimización del Proceso de Mezclado en una Mezcladora Industrial para Alimentos Balanceados: Análisis de Formación de Finos y Reducción del Tiempo de Mezcla - Image 14
A constante de Hamaker para polvos orgánicos 10−19 𝐽
R radio medio de partícula (m)
D distancia típica de partícula 1nm
Fuerza de adhesión capilar en presencia de líquidos rodhimet e inhisalm
Fc = 2𝜋𝑅𝛾𝑐𝑜𝑠(𝜃)
  • ϒ tensión superficial de los líquidos 
  • Ѳ ángulo de contacto entre el líquido y la partícula. 
  • R radio medio de la partícula
Coeficiente de adhesión normalizado
Optimización del Proceso de Mezclado en una Mezcladora Industrial para Alimentos Balanceados: Análisis de Formación de Finos y Reducción del Tiempo de Mezcla - Image 15
  • ϒ m; energía superficial del solido
  • ϒ total; ϒm + ϒl X 100
resultados de los cálculos de adhesión de partículas en la mezcla
Optimización del Proceso de Mezclado en una Mezcladora Industrial para Alimentos Balanceados: Análisis de Formación de Finos y Reducción del Tiempo de Mezcla - Image 16
Premix/ nutrientes tiene la mayor fuerza de adhesión capilar debido a su tamaño reducido y alta energía superficial, lo que indica que puede generar más problemas de adherencia en la mezcladora.

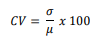
Coeficiente de Variación en la Mezcla
El coeficiente de variación (CV) es un parámetro estadístico que mide la homogeneidad de la mezcla y se define como
Optimización del Proceso de Mezclado en una Mezcladora Industrial para Alimentos Balanceados: Análisis de Formación de Finos y Reducción del Tiempo de Mezcla - Image 17
σ, desviación estándar
µ, es la media de la concentración del componente.
Para una mezcla eficiente, el coeficiente de variación debe ser menor al 5%. Si la mezcla inicial tiene un CV del 15%, y se busca reducirlo al 5% en 4 minutos, se requiere modelar la tasa de dispersión de los componentes en función del tiempo de mezclado
CV = 𝐶𝑉0𝑒 −𝑘𝑡
  • 𝐶𝑉0 es el coeficiente inicial de variación. 
  • K es la tasa de mezclado. 
  • T es el tiempo de mezclado.
Optimización del Proceso de Mezclado en una Mezcladora Industrial para Alimentos Balanceados: Análisis de Formación de Finos y Reducción del Tiempo de Mezcla - Image 18
Entonces,
𝐶𝑉𝑡 = 𝐶𝑉0𝑒 0.22𝑡
Esto permite predecir el tiempo necesario para lograr una homogeneidad óptima en la mezcla y ajustar los parámetros de operación en la mezcladora.
El coeficiente de variación total obtenido es 470.64 comparándolo con el ideal es de 195.32 lo que indica una alta dispersión en la mezcla con un tiempo de 4 minutos.
Optimización del Proceso de Mezclado en una Mezcladora Industrial para Alimentos Balanceados: Análisis de Formación de Finos y Reducción del Tiempo de Mezcla - Image 19
La soya en polvo y el premix/nutrientes son los ingredientes que más afectan la variabilidad de la mezcla.
Como el ideal es bajar el tiempo de mezclado a 4 minutos, al observar el CV alto se tiene que optimizar el proceso.
Por ende, se hace análisis de masa
Matriz de Masa Aproximada= 3 ton
Para una aproximación con dos grados de libertad:
Optimización del Proceso de Mezclado en una Mezcladora Industrial para Alimentos Balanceados: Análisis de Formación de Finos y Reducción del Tiempo de Mezcla - Image 20
Se asume que cada componente vibratorio tiene una masa efectiva de aproximadamente 1500 kg, basada en la capacidad total de la mezcladora (3000 kg) y considerando la distribución de la carga.
Matriz de Rigidez:
Optimización del Proceso de Mezclado en una Mezcladora Industrial para Alimentos Balanceados: Análisis de Formación de Finos y Reducción del Tiempo de Mezcla - Image 21
La rigidez del sistema se determina considerando la estructura metálica, los soportes y la resistencia de los materiales. Se establecen valores aproximados de 90000 N/m y 100000 N/m en la diagonal, y un término de acoplamiento de -40000 N/m, que representa la interacción entre los componentes.
Para determinar las frecuencias naturales, resolvemos:
det(𝐾 − 𝜔2𝑀) = 0
Entonces, 
Optimización del Proceso de Mezclado en una Mezcladora Industrial para Alimentos Balanceados: Análisis de Formación de Finos y Reducción del Tiempo de Mezcla - Image 22
Estas indican las velocidades a las que el sistema puede experimentar resonancia si se somete a excitaciones en esos rangos. Si la mezcladora opera a velocidades cercanas a estas frecuencias naturales, pueden generarse vibraciones no deseadas que afecten la homogeneidad de la mezcla y contribuyan a la formación de finos. Es importante ajustar la velocidad de operación para evitar efectos negativos en la calidad del producto.
Para mejorar la adhesión de partículas y reducir el coeficiente de variación (CV), podemos expresar matemáticamente la optimización de adhesión mediante la siguiente ecuación:
Optimización del Proceso de Mezclado en una Mezcladora Industrial para Alimentos Balanceados: Análisis de Formación de Finos y Reducción del Tiempo de Mezcla - Image 23
Donde; 
Optimización del Proceso de Mezclado en una Mezcladora Industrial para Alimentos Balanceados: Análisis de Formación de Finos y Reducción del Tiempo de Mezcla - Image 24
  • σ, es la desviación estándar relativa de cada material, que es inversamente proporcional a la fuerza de adhesión capilar
Optimización del Proceso de Mezclado en una Mezcladora Industrial para Alimentos Balanceados: Análisis de Formación de Finos y Reducción del Tiempo de Mezcla - Image 25
Si se aumenta la adhesión (incrementando Fcap con mejores líquidos adherentes), entonces σ disminuye y con ello CV
Optimización del Proceso de Mezclado en una Mezcladora Industrial para Alimentos Balanceados: Análisis de Formación de Finos y Reducción del Tiempo de Mezcla - Image 26
Haciendo las adaptaciones encontramos que se redujo casi el 90% de lo que se tiene en campo en este momento. Si se ajustan sus concentraciones sin disminuir la calidad.


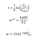
Coeficiente Empírico
El coeficiente K0 proviene de estudios experimentales sobre mezclado de partículas y se obtiene a partir de datos experimentales o bibliografía técnica sobre mezcladores de cinta espiral. En general, se determina mediante pruebas de mezcla reales, donde se mide el tiempo necesario para alcanzar una distribución homogénea con diferentes velocidades de rotación.
Se ejecuta la mezcladora a diferentes velocidades ω y se mide el tiempo t en el que la mezcla alcanza una variabilidad aceptable (por ejemplo, C min =1% )
𝐾0 = 𝐾0. 𝑤𝑛
en una prueba de mezclado a w=12 rad/s se alcanzó la homogeneidad en t =6 minutos, entonces: 
Optimización del Proceso de Mezclado en una Mezcladora Industrial para Alimentos Balanceados: Análisis de Formación de Finos y Reducción del Tiempo de Mezcla - Image 27
este valor suele estar en el rango 0.03 - 0.06, dependiendo de la geometría del mezclador y las propiedades del material.
La ecuación diferencial que rige la dispersión de partículas en la mezcladora es:
Optimización del Proceso de Mezclado en una Mezcladora Industrial para Alimentos Balanceados: Análisis de Formación de Finos y Reducción del Tiempo de Mezcla - Image 28
Optimización del Proceso de Mezclado en una Mezcladora Industrial para Alimentos Balanceados: Análisis de Formación de Finos y Reducción del Tiempo de Mezcla - Image 29
Para un tiempo de mezclado de 4 minutos, la velocidad angular óptima del eje debe ser 13.65 rad/s.
  • El motor actual debe proporcionar al menos 6.06 kW de potencia útil. Si el motor disponible tiene una potencia menor, puede no ser suficiente para reducir el tiempo de mezcla a 4 minutos sin afectar el rendimiento.
  • El torque necesario es de 399.44 Nm. Se debe verificar que el eje y los soportes sean capaces de soportar este esfuerzo sin fallas mecánicas.

Enlaces Químicos en los Ingredientes
Se analizará la estructura química de los principales componentes, sus enlaces iónicos y covalentes, y su comportamiento en la mezcla.
Enlaces Iónicos y Covalentes
Se analizarán las siguientes interacciones:
  • Sal marina (NaCl): Enlace iónico 
  • Calcio (CaCO3): Enlace iónico y covalente 
  • Proteínas en harinas (pescado, sangre, soya): Enlaces peptídicos (covalentes) 
  • Melaza y Aceites: Interacciones de Van der Waals y puentes de hidrógeno

Estructuras de Lewis
Se representarán las estructuras de Lewis de los principales compuestos presentes en la mezcla:
  • Cloruro de sodio (NaCl): Representación con iones Na⁺ y Cl⁻ 
  • Carbonato de calcio (CaCO3): Estructura resonante con enlaces covalentes y iónicos 
  • Aminoácidos presentes en las harinas proteicas: Representación con grupos carboxilo (-COOH) y amino (-NH2) 
  • Compuestos orgánicos de la melaza y aceites: Representación de grupos funcionales como -OH y -C=O
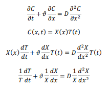
Se analizará la movilidad iónica de los compuestos en la mezcla
Optimización del Proceso de Mezclado en una Mezcladora Industrial para Alimentos Balanceados: Análisis de Formación de Finos y Reducción del Tiempo de Mezcla - Image 30
Este resultado indica que el transporte de partículas en la mezcla está dominado por la convección, mientras que la difusión es prácticamente insignificante.
Se analizará cómo los líquidos se adhieren a las partículas de harina y otros ingredientes en la mezcladora, se sabe que en 6 minutos dura el mezclado se adicionan los líquidos, para sus vitaminas e x cantidades, al entrar al contacto se evidencia muchas aglomeraciones que impiden la homogenización de la mezcla adicionando pesos extras en la mezcladora.
Si asumimos que la concentración solo varía en la dirección axial (x) y el sistema es homogéneo en y y z, la ecuación se reduce a:
Optimización del Proceso de Mezclado en una Mezcladora Industrial para Alimentos Balanceados: Análisis de Formación de Finos y Reducción del Tiempo de Mezcla - Image 31
Esto se separa en dos ecuaciones:
Ecuación temporal:
Optimización del Proceso de Mezclado en una Mezcladora Industrial para Alimentos Balanceados: Análisis de Formación de Finos y Reducción del Tiempo de Mezcla - Image 32
𝑇(𝑡) = 𝑒 −𝜆𝑡
Ecuación espacial:
Optimización del Proceso de Mezclado en una Mezcladora Industrial para Alimentos Balanceados: Análisis de Formación de Finos y Reducción del Tiempo de Mezcla - Image 33
Para un punto central en x de 1.5 metros y un tiempo de 240 s
𝐶(1.5,240) = 𝑒 −24 = 3.79 𝑥 10−11
la concentración se estabiliza con el tiempo y podemos ajustar A y B con condiciones de borde.
Ecuación de balance de masa para la aglomeración:
Sabemos que k es la constante de aglomeración es igual 1.2 𝑥 10−3 𝑠 −1
Optimización del Proceso de Mezclado en una Mezcladora Industrial para Alimentos Balanceados: Análisis de Formación de Finos y Reducción del Tiempo de Mezcla - Image 34
El número de partículas en la mezcla se ha reducido significativamente debido a la aglomeración, lo que indica que las partículas se están adhiriendo y formando conglomerados más grandes en 6 minutos.
Optimización del Proceso de Mezclado en una Mezcladora Industrial para Alimentos Balanceados: Análisis de Formación de Finos y Reducción del Tiempo de Mezcla - Image 35
Esto indica que después de 4 minutos, la concentración de partículas grandes es significativamente menor debido a la aglomeración, lo que sugiere una mejor adhesión de los líquidos a la mezcla.


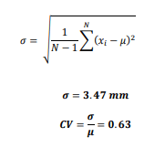
Desviación Estándar y Media
Ahora, vamos a calcular la desviación estándar y la media para la distribución de tamaño de partículas, tomando un ejemplo de medidas de tamaño de partículas que podrían tener un rango de valores de 1 a 10 mm
Si tenemos las siguientes medidas de tamaño de partículas (en mm):
X= [1,2,3,4,5,6,7,8,9,10]=5.5 mm
su desviación estándar es:
Optimización del Proceso de Mezclado en una Mezcladora Industrial para Alimentos Balanceados: Análisis de Formación de Finos y Reducción del Tiempo de Mezcla - Image 36
Esto indica una variabilidad del 63% en el tamaño de las partículas en relación con la media.
La regresión es útil para modelar la relación entre una variable dependiente, el tamaño de los finos y una o más variables independientes, el tiempo de mezcla.
  • t= [6,5,4,3] minutos 
  • f= [50,60,80,90]kg
Queremos modelar la relación entre el tiempo de mezcla y la cantidad de finos generados. Usamos una regresión lineal simple
𝑓 = 𝑎.𝑡 + b
Optimización del Proceso de Mezclado en una Mezcladora Industrial para Alimentos Balanceados: Análisis de Formación de Finos y Reducción del Tiempo de Mezcla - Image 37
  •  𝑡 = 6 + 5 + 4 + 3 = 18 
  • 𝑓 = 50 + 60 + 80 + 90 = 280 
  • 𝑡 2 = 36 + 25 + 8 + 9 = 86 
  • 𝑡. 𝑓 = 300 + 300 + 320 + 270 = 1190
𝐴 = −14
𝐵 = 133
La ecuación de la regresión lineal
𝑓 = −14𝑡 + 133
Esto significa que, según el modelo lineal, el tamaño de los finos f disminuye en 14 kg por cada minuto que se reduce el tiempo de mezcla t
En el caso de que no sea lineal, Supongamos que la relación entre f (tamaño de los finos) y t (tiempo de mezcla) sigue un modelo exponencial
Optimización del Proceso de Mezclado en una Mezcladora Industrial para Alimentos Balanceados: Análisis de Formación de Finos y Reducción del Tiempo de Mezcla - Image 38
La ecuación de A, donde es fi se sustituye por ln(f) y se cambia a la ecuación B
  • ln(𝑓) = 16.88
  • t. ln(𝑓) = 74.967
𝐵 = −0.2559
La ecuación de B, donde es fi se sustituye por ln(f) y se cambia a la ecuación A
ln(𝐴) = 5.373
𝐴 = 𝑒 5.373 = 214.48
Donde,
𝑓 = 214.48.𝑒 −02559.𝑡
Ahora que tenemos ambos modelos, podemos compararlos y predecir el tamaño de los finos f cuando t=4 minutos.
𝑓 = −14(4) + 133 = 77 𝑘𝑔
𝑓 = 214.48.𝑒 −02559.(4) = 77.1 𝑘𝑔
  • Modelo lineal: Predice 77 kg de finos a los 4 minutos. 
  • Modelo exponencial: Predice 77.1 kg de finos a los 4 minutos.
Dado que ambos modelos arrojan valores muy similares para t=4t, podemos concluir que la relación entre el tiempo de mezcla y la cantidad de finos es aproximadamente lineal en este rango de tiempo. Sin embargo, si quisiéramos modelar tiempos mucho menores o mayores, el modelo exponencial podría ser más preciso. La reducción del tiempo de mezcla a 4 minutos es viable sin afectar la calidad, ya que la cantidad de finos estimada es 77 kg frente a los 80 kg actuales a 4 minutos, lo que no representa una diferencia significativa. 
  • Las partículas más finas (que tienden a ser las que forman los finos) pueden no mezclarse adecuadamente con los ingredientes más grandes, lo que genera una mala adherencia y una mezcla no homogénea. 
  • A medida que el tiempo de mezcla aumenta, las partículas más grandes se desgastan y se fracturan, lo que contribuye a la formación de más finos. 
  • La distribución de partículas y la formación de finos pueden ser ajustadas mediante cambios en la velocidad de la mezcladora, el diseño de las cintas espirales, y la temperatura (que puede afectar la adhesión).
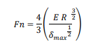
Ecuación propuesta de tiempo óptimo de mezclado:
Optimización del Proceso de Mezclado en una Mezcladora Industrial para Alimentos Balanceados: Análisis de Formación de Finos y Reducción del Tiempo de Mezcla - Image 1
Optimización del Proceso de Mezclado en una Mezcladora Industrial para Alimentos Balanceados: Análisis de Formación de Finos y Reducción del Tiempo de Mezcla - Image 2


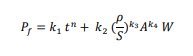
Modelo matemático propuesto para deducir el porcentaje de finos de manera experimental 
Optimización del Proceso de Mezclado en una Mezcladora Industrial para Alimentos Balanceados: Análisis de Formación de Finos y Reducción del Tiempo de Mezcla - Image 40
  • 𝑘1 𝑡 𝑛 , Este término representa el comportamiento estándar de la generación de finos en función del tiempo de mezcla. Sabemos que los finos aumentan con el tiempo, pero no de manera lineal. El exponente n ajusta esta relación, y el constante k1 pondera la contribución de este factor. 
  • 𝑘2 ( 𝜌 𝑆 ) 𝑘3𝐴 𝑘4 𝑊, Este término tiene en cuenta la relación entre la densidad y el tamaño de las partículas (S), la adhesión (A), y el peso total de la mezcla (W). La densidad y tamaño de las partículas están relacionados con la cantidad de finos generados: cuanto mayor es la densidad y más pequeñas las partículas, mayor será la formación de finos. La adhesión afecta directamente la adherencia de las partículas, lo que a su vez puede reducir la cantida
Temas relacionados:
Autores:
Carlos José Julio Garcia
Recomendar
Comentar
Compartir
Profile picture
¿Quieres comentar sobre otro tema? Crea una nueva publicación para dialogar con expertos de la comunidad.
Usuarios destacados en Balanceados - Piensos
Inge Knap
Inge Knap
dsm-Firmenich
Investigación
Estados Unidos de América
Alex Corzo
Alex Corzo
Aviagen
Director General de Servicios Nutricionales
Estados Unidos de América
Edgar Poblano
Edgar Poblano
ADM Animal Nutrition
Estados Unidos de América