El manejo reproductivo de un establo debe ser concebido como un ciclo de eventos encadenados que mantienen el sistema productivo en marcha, y no como una línea de eventos que inicia con un servicio de IA y culmina con el establecimiento de una preñez. De otro lado, la inercia de los resultados reproductivos (buenos o malos) frente al momento en que un factor causal entra en el ciclo reproductivo, determinan que los desordenes reproductivos de una lechería sean detectados demasiado tarde. De la misma manera, los cambios ejecutados para revertir tal situación también demandan un tiempo considerable antes de ver los resultados esperados. Esto se suma al incalculable daño económico que representa la pérdida de eficiencia reproductiva en un establo. Siendo así, la inercia de los resultados en reproducción sumada al fuerte impacto económico justifican una detallada planeación y medidas efectivas de prevención para el éxito productivo y reproductivo en ganado lechero.
El período de transición ha sido históricamente definido el intervalo comprendido entre las 3 semanas antes del parto a las tres semanas después del parto. Este ha sido considerado un momento crítico durante el ciclo productivo de la vaca lechera. Durante este período la vaca experimenta grandes retos sociales, fisiológicos y nutricionales; como también se hace más vulnerable a infecciones y desordenes metabólicos (Goff y Horst, 1997). A pesar de la importancia mayúscula del período de transición y sus retos en el desempeño productivo de la nueva lactancia, las consecuencias reproductivas de estos son frecuentemente ignoradas o pasadas por alto en el manejo cotidiano del establo.
Desde el punto de vista nutricional, uno de los principales factores limitantes lo constituye la obtención de suficiente energía para mantener altos niveles de producción en la nueva lactancia, agravado por la normal depresión en la ingesta que sucede alrededor del parto (Drackley 1999). Es aquí, donde la mayor parte de los esfuerzos deben enfocarse para minimizar la depresión de la ingesta, y garantizar un estatus nutricional adecuado durante este período crítico para el éxito en la nueva lactancia.
Pérdida de Reservas Corporales
Por sentido común, la depresión en la ingesta en el periodo de transición trae como consecuencia directa la pérdida de peso y de condición corporal (CC). Parece ser que las vacas tienen claramente predefinida su meta de reservas corporales para el inicio de la lactancia (Garnsworthy y Topps, 1982), de modo que las vacas que llegan más gordas al parto, tienden a perder más grasa corporal que las vacas flacas (Garnsworthy, 2007) La evaluación de la condición corporal es una práctica poco usada por los productores y consultores, a pesar de constituir un valiosísimo aporte, y de su fácil implementación como práctica rutinaria para la evaluación del estatus nutricional de un hato.
En general, los cambios en condición corporal son aceptables a través de las diferentes etapas de la lactancia, siempre y cuando no sean extremos, y no sucedan en reducido período de tiempo. Más aun, los cambios en condición corporal (evaluaciones repetidas) son más importantes para detectar problemas nutricionales o de salud que la calificación en sí, es decir, una sola evaluación en un momento determinado. Estudios realizados en la Universidad de Wisconsin (Caraviello, et al., 2004), evaluaron miles de registros de condición corporal para determinar la proporción de vacas de un establo que caen por debajo de las cifras mínimas aceptadas de CC, de acuerdo a la fase de la lactancia. Esta escala de medición es representada en la tabla 1.

En la gráfica 1, la línea roja muestra la meta de CC de acuerdo a los días en leche, la línea negra es el promedio de CC para ese hato, y cada punto negro es una observación. La proporción de puntos por debajo de la línea roja representa la proporción de “fallas” en este establo (15%). En general encontraron fallas desde el 2% hasta el 80%.
Ahora bien, los registros de todos los hatos fueron analizados con un modelo de regresión lineal, clasificando estos registros de acuerdo a su proporción de vacas por debajo de las cifras mínimas, mencionadas y la relación de esta proporción de “fallas” con la posibilidad de preñez a los 150 DEL. Esto, como una manera de evaluar el impacto de la baja CC en el desempeño reproductivo de un hato. De este análisis sale la siguiente grafica que impresiona por la magnitud del impacto que puede estar representando la baja CC en la reproducción de un hato.
En términos prácticos, Ud. puede tomar la evaluación de CC para tantas vacas como pueda entre los -60 y 200 DEL. Luego clasifique la proporción de vacas que están por debajo de los valores límite. Un resultado de 15% o menos aun está bajo control y probablemente la CC no está afectando la fertilidad. Más del 25% significa que ya comienza a gestarse (o descubrirse) un problema, y se deben utilizar dichas evaluaciones para tomar medidas correctivas en la dieta o plan de manejo.
Gráfica 2. Porcentaje de fallas en CC en el inicio de la lactancia
El por qué del efecto de condición corporal sobre fertilidad puede estar directamente relacionado con el aporte de energía necesario para el correcto funcionamiento ovárico. Estudios realizados en Brasil y Wisconsin (Souza et al., 2007), demuestran que las vacas con CC menor de 2.5 tienen menor desarrollo folicular, menor tasa de ovulación, y mayor proporción de ciclos estrales cortos y menor fertilidad. Así mismo, se reconoce limitada utilidad de la evaluación de CC en casos de desnutrición extrema (menor de 2.5 0 2.0), en los cuales puede haber compromiso metabólico de difícil valoración por degradación de proteínas y otros nutrientes vitales, al tiempo que no hay certeza de los reservas de grasa internas.
De otra parte, en concordancia con otros autores, Santos et al., 2005 han demostrado una alta proporción de vacas en condición anovulatoria a los 60 DEL (22%). Más aun, esta proporción de vacas anovulatorias guarda directa relación con la condición corporal cuando esta cae por debajo de 2.75, pero no antes. En conjunto, estos tres estudios dejan claro que la CC pro debajo de 2.5 son totalmente indeseables y constituyen un salto a un área de condiciones extremadamente nocivas para producción, reproducción y salud. Recientes trabajos sin publicar (Chebel et al., 2012), sugieren que más que la CC en si o la pérdida de CC; es la pérdida de peso la directamente involucrada en el impacto negativo sobre el desempeño de la vaca lechera.
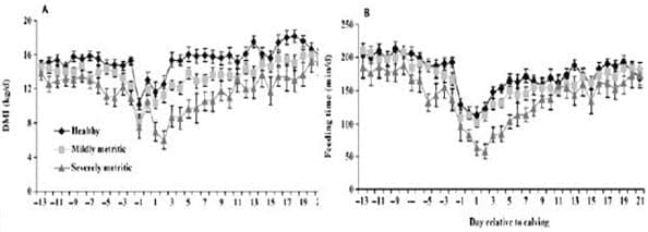
La depresión en la ingesta es inevitable en el postparto temprano, y los esfuerzos de manejo deben ser orientados a disminuir su impacto y a evitar que la caída sea tan dramática. Huzzey et al., 2007 reportaron por medio de un estudio retrospectivo de la conducta del consumo en vacas en período de transición, que las vacas que desarrollaron metritis clínica y subclínica después del parto, ya venían con una marcada depresión de la ingesta desde antes del parto. Esta disminución fue manifiesta para la cantidad de alimento consumido (panel A, Gráfica 3) y para el tiempo que las vacas estaban frente a los comederos (Panel B, Gráfica 3). Las vacas que desarrollaron metritis preferían estar ausentes de los comederos para evitar la competencia con otras vacas por espacio y alimento desde una semana antes del parto. Este reporte es muy diciente de los efectos magnificados del sobre poblamiento de corrales y la mezcla de hembras nulíparas con vacas multíparas en el período de transición.
Gráfico 3. Ingesta de y presencia de metritis
Teoría de la Oxidación Hepática
Muchos factores ambientales, de manejo y estado fisiológico de la vaca regulan la ingesta del ganado lechero. Un mejor conocimiento de los factores que regulan la ingesta del ganado podría permitir la formulación de dietas para optimizar la ingesta, lo cual es un tema de reciente actualidad y discusión entre nutricionistas. Así como, en lactancia avanzada, la ingesta esta grandemente regulada por la distención de la pared ruminal, en el período de transición y lactancia temprana está fuertemente influenciada por factores metabólicos. Existe clara evidencia, especialmente en no-rumiantes de que la ingesta de alimentos está controlada por la oxidación de fuentes energéticas en el hígado (Allen et al 2005). El hígado está “conectado” con los centros de la saciedad y el apetito por ramas aferentes del nervio vago, de modo que la conducta de comer está regulada por la tasa de excitación de estas terminaciones nerviosas, la cual está determinada por el nivel de oxidación de energía en el hígado. Un aumento en la tasa de excitación se asocia con hambre, mientras que una menor tasa de excitación se asocia con saciedad. De acuerdo a esta teoría, la conducta de consumo está asociada con la concentración de ATP en el hígado, de modo la saciedad es estimulada cuando las fuentes energéticas son oxidadas, y grandes cantidades de ATP son producidas. En contraste, el hambre es estimulada a medida que la oxidación disminuye el ATP se agota. Los combustible oxidados en el hígado varían entre especies, pero para los rumiantes los principales son ácidos grasos (de la dieta o movilización de reservas), propio nato (de la fermentación microbiana), lactato (glucosa de músculos y tejidos intestinales), y aminoácidos (de la degradación de proteína). El patrón de oxidación de los combustibles minuto a minuto, es lo que realmente afecta la conducta de la ingesta, ya que la cantidad de oxidación en períodos mayores (horas o días) es relativamente constante.
Instalaciones y comodidad de la vaca
El confort de la vaca en el período de transición juega un papel determinante en el desempeño productivo y reproductivo de la nueva lactancia. La interrupción en los tiempos de descanso y la incomodidad de las instalaciones durante el período de transición pueden resultar en estrés fisiológico evidenciado por altos niveles de cortisol plasmático y el aumento de la frecuencia cardiaca en el ganado lechero (Ladewig y Smidt 1989; Muller y col., 1989), aumentando así la susceptibilidad a enfermedades (Huzzey et al, 2005).
El hecho ampliamente aceptado de que las vacas lecheras disminuyen la ingesta alrededor del parto es solo un ingrediente más en el surtido coctel de eventos desafortunados que confluyen en el período de transición y pueden llevar la vaca no solamente a complicaciones de salud y baja rentabilidad, sino de franca pérdida económica e incluso la muerte. De hecho, uno de los parámetros que se deben monitorear en un análisis reproductivo juicioso es la proporción de vacas que abandonan el establo en los primeros 60 días en leche (DEL), el cual no debe ser mayor del 8% del total de vacas que han tenido parto en un tiempo determinado.
Hazzey y col, 2005 realizaron un estudio para determinar los patrones de ingesta de alimento, ingesta de agua, y tiempos de descanso de vacas en transición alojadas en establos libres (freestalls) con sistemas de monitoreo permanente en base a sensores electrónicos y cámaras de video, desde 10 días antes del parto hasta 10 días después del parto. La siguiente gráfica muestra como el número de comidas por período de 24 h aumento levemente después del parto (Panel superior). En el día del parto no hubo monitoreo por dificultades técnicas propias de las instalaciones de parto), sin embargo el tiempo total frente al comedero cayo drásticamente para ese mismo período (Panel inferior). Además de múltiples factores fisiológicos y nutricionales que pueden deprimir la ingesta al momento del parto como agotamiento, deshidratación, ajuste de la energía en la ración, estrés por protección de la cría, o aun enfermedad; los autores atribuyeron esta dramática caída a la competencia por alimento y espacio a la que se someten las vacas en el ambiente estresante y desconocido de los corrales de parto y vacas frescas. Esta observación agrava mucho, la condición de las vaquillas de primer parto, en las cuales la los factores de estrés al cambio de ambiente y de manejo son mucho las drásticos que en las vacas de lactancias maduras.

En cuanto a los ajustes nutricionales de la dieta, es una práctica común el aumento de energía en la ración (concentrado) para aumentar la frecuencia de las comidas y suplir las necesidades de energía con menor ingesta esperada. Esta práctica también puede tener un efecto negativo al inducir cambios en la flora y en el pH ruminal, lo que coloca el animal en riesgo de acidosis subclínica del rumen; además de un efecto antagónico de la oxidación hepática de combustibles presentado anteriormente. De esta manera, las vacas en el periodo de transición con susceptibles a acidosis subclínica, y reducción de la ingesta.
En el mismo estudio las vacas parecen iniciar un aumento en el consumo de agua (número de bebidas y tiempo total de bebida en 24 h) inmediatamente después del parto, lo que puede estar directamente relacionado con la necesidad de rehidratación luego de un extenuante trabajo de parto (el primer día), y claramente con la alta demanda de agua para la producción de leche al inicio de la nueva lactancia en días subsiguientes. Este aumento en el consumo de agua está bien documentado. Osborne et al. (2002), encontraron un aumento en el consumo de agua desde 57 Litros por vaca por día durante la semana antes del parto, a 73 Litros por vaca por día durante la primera semana después del parto.
Sobrepoblamiento
El sobrepoblamiento de corrales de transición no solo afecta la ingesta como ha sido presentado en este artículo, sino que induce estrés por búsqueda y competencia de espacio para el descanso. Esta alta carga de estrés de múltiple origen (por espacio, agua, alimento, jerarquización, cambio de corrales, etc.) tiene efecto negativo en la inmunidad de la vaca además de los efectos adversos antes mencionados. La ocupación se mide en número de camas por número de vacas en un corral para los establos libres o freestalls. Para los feedlots o patios abiertos tipo Californiano, se calcula con el área disponible de sombra y cama limpia (10m2 por vaca) por número total de vacas en el corral. En ambos casos, también debe tenerse en cuenta el espacio de comederos disponible por el número total de vacas, especialmente cuando se tiene trampas en los comederos.
Normalmente, los corrales de producción se manejan con una tasa de sobre-poblamiento de 110-120% de la capacidad total del corral, con el objetivo de optimizar espacio (leche producida por corral) ya que en raras ocasiones todas las vacas van a estar descansando en las camas o todas van a esas comiendo. Para vacas en preparto y postparto temprano, se recomienda una tasa de ocupación menor del 85% para eliminar la competencia por espacio alimento y agua de la ecuación de la caída en la ingesta de materia seca, consumo de agua y confort de la vaca.
Grupos de lactancia
La vulnerabilidad de las vacas que llegan el período de transición estriba en varios factores que se pueden resumir en disminución de la ingesta, dificultades de adaptación y limitada comodidad de la vaca. A continuación se enumeran los principales retos de la transición que afectan su futuro desempeño:
1. Depresión de la ingesta
2. Depresión de la función inmune
3. Exposición a altas cargas de patógenos
4. Competencia por alimento y espacio
5. Competencia por jerarquía social
6. Adaptación a la nueva dieta
7. Adaptación a las instalaciones
Es claro que la transición y el parto representan el período más estresante de la vida de una vaca. Dentro de ese grupo de vacas en transición, las vaquillas que llegan a su primer parto, representan el grupo más vulnerable debido a su inferioridad de condiciones mencionadas a continuación, además de las mencionadas anteriormente.
1. Está terminando su desarrollo, por lo cual sus necesidades nutritivas son más críticas, y más limitantes.
2. Primer evento de parto. Esto trae más estrés y angustia para la adaptación a un nuevo medio de ruidos, maquinarias, y equipos de la sala de ordeno y corrales de producción.
3. Debido a su menor tamaño corporal frente a las vacas maduras, tiene poco éxito al competir por cama, espacio, agua y alimento.
4. Presencia de la cría. Aunque es un factor común a todas las vacas, el estrés por proteger la cría es en muchos casos mayor en las vaquillas de primer parto.
Bajo condiciones ideales, la recomendación es tener las vaquillas aisladas de las vacas maduras desde el preparto y a través de toda la primera lactancia. Es decir, el primer contacto de las vaquillas con vacas maduras debe ser al terminar su primera lactancia e ingresar al grupo de vacas secas. Estas medidas favorecen las condiciones de confort y competitividad de las vaquillas, lo que redunda en su mejor desempeño productivo y reproductivo durante la primera lactancia.
En conclusión, el desempeño reproductivo en una nueva lactancia está fuertemente afectado por las condiciones nutricionales, de salud, de confort, manejo, y jerarquización social que rodean el periodo pre parto. Todas las atenciones prestadas a la vaca durante este periodo serán retribuidas con creces en la nueva lactancia, y determinarán en gran medida las posibilidades de una óptima producción y fertilidad.
Referencias
Souza A.H., Gumen A., Silva E.P.B., Cunha A.P., Guenther J.N., Peto C.M., Caraviello D.Z., and Wiltbank M.C., (2007). Supplementation with Estradiol-17β Before the Last Gonadotropin-Releasing Hormone Injection of the Ovsynch Protocol in Lactating Dairy Cows, J. Dairy Sci. 90:4623–4634
Allen M.S. and Bradford B.J., (2009). HOT Feeding strategies to maximize milk yield, Four-State Dairy Nutrition and Management Conference. Dubuque IA, June 10-11, 2009.
Kawashima C., Amaya Montoya C., Masuda Y., Kaneko E., Matsui M., Shimizu T., Matsunaga N., Kida K., Miyake Y.-I., Suzuki M., Miyamoto A. (2007). Short Communication: A Positive Relationship Between the First Ovulation Postpartum and the Increasing Ratio of Milk Yield in the First Part of Lactation in Dairy Cows, J. Dairy Sci. 90:2279–2282
Huzzey J. M., Veira D. M., Weary D. M., and von Keyserlingk M. A. G., (2007). Prepartum Behavior and Dry Matter Intake Identify Dairy Cows at Risk for Metritis, J. Dairy Sci. 90:3220–3233.