Explorar

Anunciar en Engormix

Determinación rápida de los nutrientes del purín de bovino de leche in situ en base a la lectura de la conductividad eléctrica (CE) para una correcta fertilización.

Publicado: 15 de abril de 2016
Fuente: Joan Parera i Pous1*, Carles Mallol Nabot2, Francesc Domingo Olivé2i Núria Canut Torrijos1 1GESFER Gestió de la fertilització agrària de Catalunya. Camp de Mart, 35. 25004 – Lleida.2Pla per la millora de la fertilització a les comarques gironines. IRTA-Mas Badia. Mas Badia.17134 - La Tallada d’Empordà. Girona.
Resumen

Históricamente las explotaciones de vacuno de leche se han caracterizado por tener la suficiente base territorial para satisfacer gran parte las necesidades nutricionales de la cabaña consiguiendo un balance de nutrientes equilibrado.

Pero su intensificación, con un incremento del número de cabezas en la explotación y con un aumento de la producción de leche por plaza, ha implicado la importación de nutrientes, mayoritariamente en forma de concentrado, que la explotación tiene que gestionar.

El destino tradicional de la mayoría de las deyecciones es la aplicación agrícola como fertilizante. En Catalunya, dentro del proyecto de caracterización de las deyecciones ganaderas coordinado por GESFER, se encontró la relación lineal entre el contenido de nitrógeno (N) y potasio (K) y la conductividad eléctrica en el purín de cerdo (Domingo et al., 2009). Por otra parte, también hay estudios que relacionan la conductividad eléctrica (CE) y el contenido de nutrientes (NPK) del purín procedente de explotaciones lecheras (Salcedo et al., 2008 y Martinez-Suller et al., 2008). 

El objetivo de este estudio es encontrar una relación entre la CE y el contenido en nutrientes de los purines de bovino de leche, teniendo en cuenta las características de producción de las explotaciones lecheras en Catalunya. Para ello, se han recogido un total de 115 muestras de purín durante los años 2008, 2009 y 2010 en diferentes zonas geográficas.

Sobre las muestras recogidas en campo se determinó la conductividad eléctrica in situ y la densidad del purín y en laboratorio se analizó el contenido en materia seca, nitrógeno total kjeldahl, nitrógeno amoniacal, fósforo y potasio total, y se determinó también la densidad en laboratorio. Los resultados obtenidos se han analizado teniendo en cuenta el manejo, el tipo de instalaciones y el tipo de material (purín, purín + agua de lluvia,…) que se almacena en la balsa de la explotación.
En los resultados obtenidos, se observa una importante variabilidad según explotación y momento de recogida, con un contenido medio de nitrógeno de 3,6 kg m-3 del cual el 50 % se encuentra en forma amoniacal. Se ha encontrado una relación entre la conductividad eléctrica y el contenido de nutrientes (NPK) mejorando el análisis de la varianza según zona geográfica y manejo de la balsa de purines.

Palabras clave CE; gestión de deyecciones; N amoniacal; N total; purín de bovino.

INTRODUCCIÓN
En Catalunya actualmente hay un total de 819 explotaciones de vacuno de leche activas (DAR, 2010), con un potencial de producción de nitrógeno en las deyecciones ganaderas de 8 millones de kilos, según cálculos elaborados por Gesfer. El tipo de estabulación más utilizado son los cubículos, así el 91% de las explotaciones de 75 a 150 vacas y el 80% de las explotaciones de más de más de 150 vacas disponen de este tipo de estabulación (datos obtenidos del Observatori de la llet de Catalunya, DAR, 2010). Con este tipo de manejo se genera mayoritariamente purín. 
Las balsas de almacenaje de purín de las explotaciones de bovino de leche además de purín pueden contener aguas de limpieza, aguas blancas, etc. Así, en el 48% de las explotaciones se almacena en la balsa el purín más las aguas de limpieza procedentes de las plataformas de la sala de ordeño y de las andanas de espera y en un 43% de las explotaciones también se almacenan las aguas blancas de la limpieza de las instalaciones de la sala de ordeño (compuestas por residuos lácteos, detergentes y ácidos desactivados y agua). Por otra parte, el 14% de las explotaciones tiene un separador sólido-líquido para gestionar el purín (Seguí, 2008).
La mayor parte de estas deyecciones se aplican como fertilizantes en parcelas de cultivo. El purín de vacuno, igual que el purín de porcino, presenta una gran variabilidad en la composición dependiendo mayoritariamente a la gestión realizada en
la explotación (Martinez-Suller et al., 2007). Esto conlleva que se desconozca el contenido de nutrientes fertilizantes que se aporta al suelo.
El presente trabajo pretende aportar información de la composición del purín de las explotaciones de bovino de leche de Catalunya y determinar, si existe, la relación entre la conductividad eléctrica (CE) y el contenido de nutrientes de dichas deyecciones ganaderas. El objetivo es determinar si se puede utilizar la CE como herramienta rápida y económica para conocer el contenido de nutrientes de los purines antes de aplicar en el campo.
 
MATERIALES Y MÉTODOS
El purín del estudio procede de 53 explotaciones de vacuno de leche, distribuidas a lo largo de diferentes zonas de la geografía catalana. En concreto, se recogieron 104 muestras procedentes de explotaciones de la provincia de Girona y de las comarcas de Osona, Vallés Oriental y de la plana de Lleida (Noguera y Pla d’Urgell) (ver tabla 1).
La mayor parte de las explotaciones tienen una capacidad de más de 100 vacas lecheras distribuidas en cubículos y con un sistema de recogida de las deyecciones mediante arrobaderas o palas (47 explotaciones) y con un sistema de rejilla (5 explotaciones).

Tabla 1.- Número de muestras recogidas en cada zona de muestreo y según la muestra recogida del purín de vacuno de leche.
Determinación rápida de los nutrientes del purín de bovino de leche in situ en base a la lectura de la conductividad eléctrica (CE) para una correcta fertilización. - Image 1
La recogida de las muestras se realizó durante los años 2.008, 2.009 y principios del 2.010, recogiendo una muestra de 1 L de purín por explotación y determinando la conductividad eléctrica (CE), estandarizada a 25ºC. 
Las muestras se recogieron de las siguientes formas:
a) Después de llenar cuba de aplicación antes de fertilizar el campo.
b) Directamente de la balsa de purín:
a. después de tener encendido el agitador
b. cogiendo muestras de diferentes puntos y a diferentes alturas y posteriormente mezclándolas
c. y cogiendo muestras directamente de las fosas de recogida
En algunas explotaciones que tenían un separador sólido-líquido también se recogió muestras de la fracción líquida (16).
Para determinar la CE de las muestras en la explotación se utilizaron conductímetros móviles de campo, y se realizaron hasta 5 medidas directamente del purín, sin dilución previa, que se promediaron posteriormente.
Las muestras se enviaron a laboratorio para la determinación de los contenidos en materia seca, densidad, nitrógeno amoniacal, fósforo y potasio, siguiendo métodos homologados.
Se realizó un análisis estadístico mediante el paquete SPSS®. Se realizó inicialmente un análisis descriptivo y un análisis de la varianza (ANOVA) según zona geográfica de recogida, sistema de recogida y material de almacenado en la balsa. Y por otra parte, se estableció una relación lineal entre la conductividad eléctrica a 25ºC y cada uno de los contenidos analizados (nitrógeno amoniacal y total, fósforo y potasio) mediante el análisis de regresión lineal, exponencial y cuadrática.
 
RESULTADOS Y CONCLUSIONES
Análisis químico
El contenido medio de nitrógeno encontrado para el purín procedente de explotaciones de vacuno de leche es de 3,24 Kg m-3 (tabla 2), de los cuales el 50% se encuentra en forma orgánica y el 50% restante en forma amoniacal. El contenido de nitrógeno tiene una amplia oscilación entre los valores máximo y mínimo con diferencias 9 veces superiores.
Si se compara con otros estudios de caracterización de las deyecciones de vacuno de leche, la media del nitrógeno total y amoniacal no difiere a los datos obtenidos. En concreto si se compara con los datos de la ITG Ganadero de Navarra (2007), la media de nitrógeno es de 3,5 Kg m-3 cuando se ha mezclado con las aguas de la sala de ordeño.
El contenido medio de fósforo (P2O5) y potasio (K2O) es de 1,40 y 3,04 Kg m-3 respectivamente. Por otra parte, si se observan los valores extremos, el contenido de fósforo va de 0,13 a 3,03 Kg m-3, y el contenido de potasio está entre 0,89 y 6,07 Kg m- 3, por lo tanto, igual como sucede con el nitrógeno presentan una gran variabilidad. La causa de la variación en el contenido de nitrógeno, fósforo y potasio podría atribuirse al manejo de la balsa y a la gestión del agua de la explotación. En concreto, hay explotaciones donde en la balsa de purín solamente se almacenaba el purín de la nave de alojamiento del vacuno lechero. Por otro lado hay otras explotaciones donde en la misma balsa se almacenaba el purín y las aguas de la limpieza de la sala de ordeño y sala de espera (aguas blancas y aguas verdes).
Se observa la existencia de relación lineal entre el contenido de materia seca y nitrógeno total con una varianza explicada del 70%. Estudios como el de Moral et al., 2005 y Scotford et al., 1998 entre otros también observan dicha correlación. También se puede observar que hay una relación lineal entre la materia seca y el contenido de fósforo y potasio con una varianza explicada del 60 i 50%.
Tabla 2.- Caracterización del purín de vacuno de leche (nº:80).
Determinación rápida de los nutrientes del purín de bovino de leche in situ en base a la lectura de la conductividad eléctrica (CE) para una correcta fertilización. - Image 2
No se tienen en cuenta las muestras procedentes de la fracción líquida después de pasar una fase de separación sólido-líquido.
El promedio obtenido para la conductividad eléctrica del purín procedente de explotaciones de vacuno de leche es de 14,84 mS/cm. El 83% de las muestras analizadas se encuentran dentro de un rango de conductividad que oscila entre 12 y 18
mS/cm. Si se compara con la conductividad eléctrica del purín porcino, el 95% de las muestres tienen una conductividad entre 10 y 40 mS/cm (Parera et al., 2008). El hecho que el intervalo de conductividad eléctrica sea bajo para el purín de vacuno de leche implica menor precisión respecto la medida de la conductividad del purín de porcino. Así, para el bovino a partir de 12 mS/cm cada punto de incremento de la CE implica un incremento de 0,21 kg de nitrógeno. Por otro lado para el porcino este incremento es de 0,17 kg de nitrógeno.
Tabla 3.- Caracterización del purín de vacuno de leche según material almacenado (n: 68)
Determinación rápida de los nutrientes del purín de bovino de leche in situ en base a la lectura de la conductividad eléctrica (CE) para una correcta fertilización. - Image 3
N: nitrógeno; CE: Conductividad eléctrica; FL: Fracción líquida del proceso de tratamiento separación sólido líquido.
Si se analiza la composición del purín en función del material almacenado en la balsa (purín, purín más aguas blancas o fracción líquida de un proceso separación sólido/líquido) se observa que el contenido de materia seca difiere significativamente (P<0,001) entre la fracción líquida y el resto de materiales almacenados. También se encuentran diferencias significativas con el contenido de potasio y contenido de nitrógeno amoniacal (P<0,001). La fracción líquida de un purín contiene el 60% del nitrógeno en forma amoniacal, mientras que el purín con o sin aguas blancas procedentes de la sala de ordeño contiene solo un 50% de nitrógeno amoniacal. Contrariamente a lo esperado, el purín procedente de balsas donde solamente se almacena purín la concentración de nitrógeno ha sido menor respecto de cuando se almacena purín y aguas blancas procedentes de la sala de ordeño. El origen podría encontrarse en la gestión del agua dentro de la explotación ya que difiere mucho entre explotaciones.
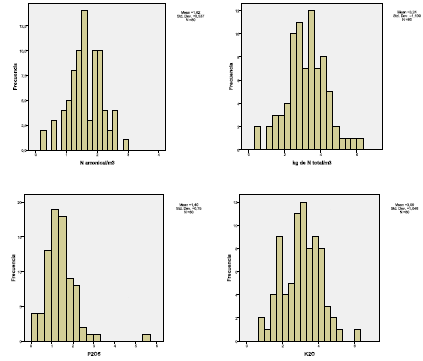
Si se analiza la frecuencia de los resultados, lo primero que se puede observar es que en el 80% de las muestras analizadas el contenido de nitrógeno amoniacal está entre 1 y 3 Kg m-3. El contenido de nitrógeno total del 67% de la muestras es de entre 3 y 4 Kg m-3 (Figura 1).
El contenido de fósforo del purín no pasa de 2 Kg m-3 (86% de la muestras) y el contenido de potasio se encuentra entre 2 y 4 Kg m-3 (82%).
En cambio, en la fracción líquida del purín el 64 % de las muestras tienen una concentración de entre 1 y 2 kg N amoniacal m-3 y el 50 % de la muestras el nitrógeno total está entre 2 y 3 Kg m-3.
En el caso de la mezcla entre purín y aguas blancas el 78% de las muestras tienen una concentración de nitrógeno de entre 2,5 y 4,5 kg .
Determinación rápida de los nutrientes del purín de bovino de leche in situ en base a la lectura de la conductividad eléctrica (CE) para una correcta fertilización. - Image 4
N: nitrógeno; CE: Conductividad eléctrica; FL: Fracción líquida del proceso de tratamiento separación sólido líquido.
Si se analiza la composición del purín en función del material almacenado en la balsa (purín, purín más aguas blancas o fracción líquida de un proceso separación sólido/líquido) se observa que el contenido de materia seca difiere significativamente (P<0,001) entre la fracción líquida y el resto de materiales almacenados. También se encuentran diferencias significativas con el contenido de potasio y contenido de nitrógeno amoniacal (P<0,001). La fracción líquida de un purín contiene el 60% del nitrógeno en forma amoniacal, mientras que el purín con o sin aguas blancas procedentes de la sala de ordeño contiene solo un 50% de nitrógeno amoniacal. 
Contrariamente a lo esperado, el purín procedente de balsas donde solamente se almacena purín la concentración de nitrógeno ha sido menor respecto de cuando se almacena purín y aguas blancas procedentes de la sala de ordeño. El origen podría encontrarse en la gestión del agua dentro de la explotación ya que difiere mucho entre explotaciones.
Si se analiza la frecuencia de los resultados, lo primero que se puede observar es que en el 80% de las muestras analizadas el contenido de nitrógeno amoniacal está entre 1 y 3Kg m-3. El contenido de nitrógeno total del 67% de la muestras es de entre 3 y 4 Kg m-3 (Figura 1).
El contenido de fósforo del purín no pasa de 2 Kg m-3 (86% de la muestras) y el contenido de potasio se encuentra entre 2 y 4 Kg m-3 (82%). 
En cambio, en la fracción líquida del purín el 64 % de las muestras tienen una concentración de entre 1 y 2 kg N amoniacal m-3 y el 50 % de la muestras el nitrógeno totalestá entre 2 y 3 Kg m-3.
En el caso de la mezcla entre purín y aguas blancas el 78% de las muestras tienen una concentración de nitrógeno de entre 2,5 y 4,5 kg .
Determinación rápida de los nutrientes del purín de bovino de leche in situ en base a la lectura de la conductividad eléctrica (CE) para una correcta fertilización. - Image 5
Determinación rápida de los nutrientes del purín de bovino de leche in situ en base a la lectura de la conductividad eléctrica (CE) para una correcta fertilización. - Image 6
Determinación rápida de los nutrientes del purín de bovino de leche in situ en base a la lectura de la conductividad eléctrica (CE) para una correcta fertilización. - Image 7
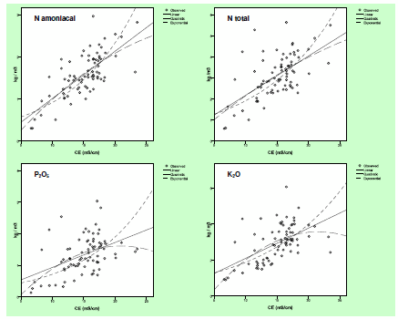
Figura 2.- Coeficientes de correlación entre la conductividad eléctrica (CE) y los nutrientes (N amoniacal, N total, P2O5 y K2O) para todo el conjunto de muestras de purín de vacuno de leche b) Analizando la fracción líquida del purín después de un proceso de separación sólido-líquido
Si se hace un análisis de las 14 muestras procedentes de la fracción líquida después de un proceso de separación sólido-líquido del purín se observa que la variancia explicada supera el 83% cuando se analiza el nitrógeno (amoniacal y total) y supera 70% cuando se analiza el fósforo. Para valores de CE de 5 y 25 mS/cm el modelo que más se ajusta es el cuadrático. Con el fósforo el modelo que mejor se ajusta es el exponencial (ver tabla 5).
Tabla 5.-Coeficiente de regresión y significancia según modelo de regresión entre la conductividad eléctrica (mS/cm) y los nutrientes (Namoniacal, N total, P2O5 y K2O) de la fracción líquida del purín después de un proceso de separación sólido-líquido (n: 14).
Determinación rápida de los nutrientes del purín de bovino de leche in situ en base a la lectura de la conductividad eléctrica (CE) para una correcta fertilización. - Image 8
Determinación rápida de los nutrientes del purín de bovino de leche in situ en base a la lectura de la conductividad eléctrica (CE) para una correcta fertilización. - Image 9
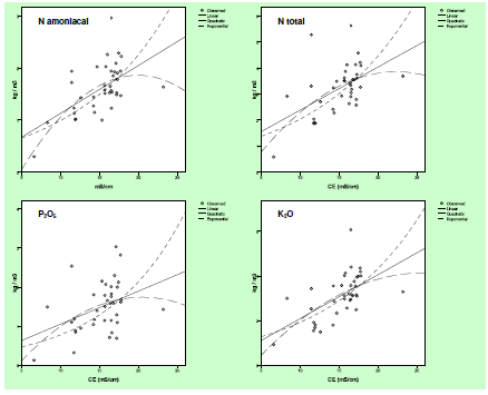
Figura 3.- Coeficientes de correlación entre la conductividad eléctrica (CE) y los nutrientes (N amoniacal, N total, P2O5 y K2O) para las muestras de fracción líquida de purín de vacuno de leche después de un proceso de separción sólido-líquido
c) Analizando la muestra de la balsa donde se almacena el purín de vacuno de leche y las aguas blancas procedentes de la sala de ordeño (n: 38)
Cuando en la balsa de purín se almacenan conjuntamente las deyecciones de las vacas de leche y las aguas blancas y verdes procedentes de la sala de ordeño, es cuando si existe una mayor heterogeneidad entre la CE y el contenido de nutrientes (NPK).
Esta heterogeneidad implica que aunque sea significativa la relación entre CE y contenido de nutrientes del purín, la varianza explicada en el modelo sea baja y no supere el 43% en el caso de la relación exponencial.
Ese efecto podría atribuirse a los productos de limpieza de la sala de ordeño y a los restos de leche que al mezclarse en la balsa de purín interfieran en la relación entre la CE y el contenido de NPK.
Taula 6.-Coeficiente de regresión y significancia según modelo de regresión entre la conductividad eléctrica (mS/cm) y los nutrientes (Namoniacal, N total, P2O5 y K2O) del material almacenado en la balsa de las explotaciones lecheras (purín y aguas procedentes de la limpieza de la sala de ordeño) (n: 38).
Determinación rápida de los nutrientes del purín de bovino de leche in situ en base a la lectura de la conductividad eléctrica (CE) para una correcta fertilización. - Image 10
Determinación rápida de los nutrientes del purín de bovino de leche in situ en base a la lectura de la conductividad eléctrica (CE) para una correcta fertilización. - Image 11
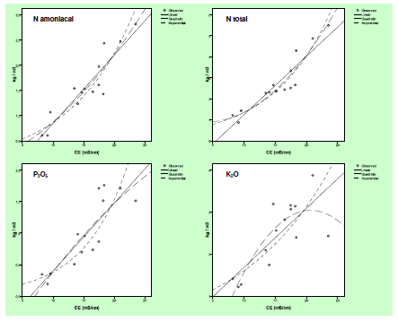
Figura 4.- Coeficientes de correlación entre la conductividad eléctrica (CE) y los nutrientes (N amoniacal, N total, P2O5 y K2O) para las muestras de la balsa de almacenamiento que almacenan el purín de vacuno de leche y las aguas de limpieza de la sala de ordeño (n: 38)
d) Analizando el purín de las balsas donde solamente se almacena el purín de vacuno de leche (n: 16)
En las explotaciones ganaderas que tienen balsas separadas para el almacenamiento del purín del ganado vacuno y para el almacenamiento de las aguas residuales de la limpieza de la sala de ordeño se ha encontrado una mejor correlación entre la CE y los nutrientes (NPK) que en aquellas granjas que almacenan conjuntamente el purín y las aguas residuales.
En concreto se ha encontrado una buena relación entre la CE y el nitrógeno amoniacal con una varianza explicada por el modelo lineal del 73%, y para el nitrógeno total del 50%. No difiere mucho la varianza explicada según el modelo utilizado (lineal, exponencial y cuadrática).
Para el fósforo la correlación lineal con la CE no supera la variancia explicada el 50% pero la mejora sensiblemente con una correlación cuadrática (63%). La correlación cuadrática del fósforo es valida para valores de CE de 7,5 a 20 mS/cm.
Cuando se analiza la correlación entre la CE y el potasio la varianza explicada por el modelo exponencial es del 70%
Tabla 7.-Coeficiente de regresión y significancia según modelo de regresión entre la conductividad eléctrica (mS/cm) y los nutrientes (Namoniacal, N total, P2O5 y K2O) del purín de vacuno de leche (n: 16).
Determinación rápida de los nutrientes del purín de bovino de leche in situ en base a la lectura de la conductividad eléctrica (CE) para una correcta fertilización. - Image 12
Determinación rápida de los nutrientes del purín de bovino de leche in situ en base a la lectura de la conductividad eléctrica (CE) para una correcta fertilización. - Image 13
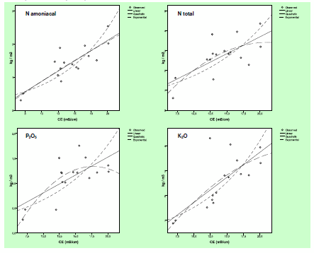
Figura 5.- Coeficientes de correlación entre la conductividad eléctrica (CE) y los nutrientes (N amoniacal, N total, P2O5 y K2O) para las muestras de la balsa de almacenamiento que almacenan el purín de vacuno de leche (n: 18)

CONCLUSIONES
• Debido a las diferencias de materiales que se almacenan en las balsas de las explotaciones (purín, purín más aguas blancas,…) y los diferentes manejos de las explotaciones, la composición del purín de vacuno de leche presenta una gran variabilidad entre explotaciones e incluso dentro de la propia explotación.
Por lo tanto, para una correcta aplicación al suelo agrícola es necesario conocer de forma rápida el contenido de nutrientes del purín.
• Existe una relación entre la conductividad eléctrica (CE) y el contenido de nutrientes del purín de vacuno de leche (NPK) pero la variancia explicada en el caso de la regresión lineal, exponencial y cuadrática es baja si se analiza todas las muestras conjuntamente.
• Si se analizan por separado las muestras según los materiales almacenados en la balsa se observa que cuando solo hay fracción liquida después de un proceso de separación sólido líquido la variancia explicada entre la CE y el contenido de
nutrientes es buena. Cuando en la balsa solo hay purín, aunque es menor, también es buena. Cuando en la balsa de almacenaje se mezclan más productos (purines, fracción líquida o purines y aguas de limpieza de la sala de ordeño), la
variancia explicada disminuye.
• La pendiente entre la CE y el contenido de nutrientes no difiere entre los diferentes manejos de la balsa de purines.

BIBLIOGRAFIA
Departament d’Agricultura, Alimentació i Acció Rural (DAR). (2010) Informe del sector lleter exercici 2009. Observatori de la llet, www.gencat.cat 
Domingo F., Parera J., Mallol C., Canut N. y Serra J. (2009) Automatic electrical conductivity measurement for a better on field management of pig slurry Proceedings of the 16th Nitrogen Workshop: Connecting different scales of nitrogen use in
agriculture. P. 284.
Mangado, J.M., (2008) Caracterizacion de purines producidos en explotaciones de vacuno de leche. Instituto técnico y de gestión ganadero de Navarra. www.itgganadero.com/itg/
Martínez-Suller, L., Azzellino, A. and Provolo, G. (2008). Analysis of livestock slurries from faros across Northern Italy: Relationship between indicators and nutrient content. Biosystems Engineering, doi:10.1016/j.biosystemseng.2007.12.002.
Moral, R., Perez-Murcia, M.D., Perez-Espinosa, A., Moreno-Caselles, J., Paredes, C. and Rufete, B. (2005). Estimation of nutrient values of pig slurries in southeast Spain using easily determined properties. Waste Management, 25, 719-725.
Parera J., Domingo F., Canut N. y Serra J. (2008). Determinación rápida de los nutrientes del purín de cerdo in situ en base a la lectura de la conductividad eléctrica (CE) para una correcta fertilización. Libro de Actas del I congreso Español de Gestión Integral de Deyecciones Ganaderas. P 237.
Provolo, G. and Martínez-Suller, L. (2007). In situ determination of slurry nutrient content by electrical condutivity. Biorescource Technology, doi:10.1016/ j.biotech. 2006.07.018.
Salcedo, G., Martinez-suller, L., Tejero, I., Rico, C., (2008). Composición química del purín en las explotaciones lecheras de Cantabria y su relación con la nutrición. Libro de Actas del I congreso Español de Gestión Integral de Deyecciones Ganaderas. P 169 
Seguí, A., (2008). Anàlisi técnica i económica del sector productor de llet de Catalunya. Les explotacions de vaques de llet a Catalunya. Dossier Tècnic del Departament d’Agricultura, Alimentació i Acció Rural (DAR). www.ruralcat.net P3-13, ISSN: 1699- 5465.
Stevens, R.J., O’Bric, C.J., Carton, O.T. (1995). Estimating nutrient content of animal slurries using electrical conductivity. Journal of Agricultural Science, 233-238
Contenido del evento:
Temas relacionados:
Autores:
Joan Parera Pous
Generalitat de Catalunya
Generalitat de Catalunya
Recomendar
Comentar
Compartir
Profile picture
¿Quieres comentar sobre otro tema? Crea una nueva publicación para dialogar con expertos de la comunidad.
Usuarios destacados en Lechería
Guillermo Schroeder
Guillermo Schroeder
Cargill
Cargill
Estados Unidos de América
Andres Sabele
Andres Sabele
dsm-Firmenich
Estados Unidos de América
Ariel Lola
Ariel Lola
MSD - Merck Animal Health
Gerente Comercial Cerdos Región Sur
Estados Unidos de América