Explorar

Anunciar en Engormix

Estabilidad del rendimiento interanual en INTA Balcarce, Campañas 2013/14 a 2016/17

Publicado: 8 de junio de 2017
Fuente: Pablo Eduardo Abbate (Grupo Trigo. INTA Balcarce); Aguate F.M.; Del Vecchio E. y M. Balzarini (CONICET; Facultad de Ciencias Agropecuarias, Universidad Nacional de Córdoba). Argentina
INTRODUCCIÓN
El rendimiento y su estabilidad suelen ser las principales características a tener en cuenta en la elección de un cultivar. Desde un punto de vista estadístico, la ventaja de un cultivar i en un ambiente j se suele evaluar por medio de la diferencia (D RT Oij) entre el rendimiento del cultivar i y el rendimiento promedio todos los cultivares evaluados en el ambiente j. Por otra parte, la estadística se refiere a la “estabilidad de un cultivar” como la estabilidad de D RT Oij de un ambiente a otro. Las variaciones de estas diferencias suelen describirse más específicamente como “interacción cultivar x ambiente”. La Fig. 1 ejemplifica casos de cultivares con distinta estabilidad. La estabilidad de un cultivar puede diferir de acuerdo al tipo de variación ambiental en la que se evalúa: diferentes años, localidades, niveles de disponibilidad de recursos o niveles de adversidades bióticas. Un estudio reciente (Aguate, Abbate y Balzarini no publicado) indica que al menos en la Subregión triguera IV (sudeste de la provincia de Buenos Aires), la estabilidad de los rendimientos de un cultivar a través de los años en una localidad no puede estimarse satisfactoriamente por medio de la estabilidad a través de varias localidades durante un mismo año ya que la correlación entre ambas estabilidades es baja.
Fig. 1. Representación de cultivares con distinta estabilidad. La media corresponde al rendimiento promedio de un grupo de cultivares (además de los graficados). En todas las figuras: el cultivar CV1 es más estable que el cultivar CV2, CV1 no presenta interacción respecto de la media y CV2 presenta interacción respecto de la media.
Existen varios métodos para analizar la estabilidad de un cultivar. En el ámbito de la Red de ensayos de cultivares de trigo pan (RET), los métodos más usuales son: (1) presentar el rendimiento promedio de cada cultivar a través de los años (p. ej. Abbate et al., 2010); (2) graficar el rendimiento promedio de cada cultivar en función de un índice de estabilidad constituido por el cociente entre la varianza del cultivar y la varianza ambiental (método propuesto por Masiero y Castellano, 1991, basado en Shukla, 1972); (3) presentar los resultados por medio de un gráfico de dispersión del tipo GGE biplot, como el propuesto por Yan et al. (2000), en el que el eje de las abscisas representa el efecto de cada cultivar y el de las ordenadas las interacciones del cultivar con el ambiente. El primer método es de cálculo e interpretación sencilla, pero la inestabilidad puede confundirse con las variaciones ambientales. El segundo método cuantifica la estabilidad de cada cultivar, sin mayor detalle de sus interacciones con cada ambiente; el método requiere un programa informático específico para su cálculo. El tercer método es el que permite analizar la información en mayor detalle, pero la interpretación del biplot requiere de entrenamiento.
Los objetivos del presente trabajo fueron: (1) presentar el rendimiento promedio de los cultivares comerciales de trigo disponibles para Balcarce y su estabilidad a través de las cuatro últimas campañas y (2) presentar un método de análisis de la estabilidad, de cálculo e interpretación sencilla, apropiado para la RET.

MATERIALES Y MÉTODOS
Los datos presentados fueron obtenidos durante las campañas agrícolas 2013/14 a 2016/2017, en INTA Balcarce, Estación Experimental Agropecuaria “Ing. Agr. Domingo Pasquale” (Buenos Aires, Argentina, latitud 38° S, longitud 58° O, altitud 130 m), ubicada en la Subregión triguera IV. Los ensayos forman parte de la RET coordinada por el Instituto Nacional de Semillas (INASE), dependiente del Ministerio de Agroindustria.

Manejo del cultivo
Los experimentos se condujeron, sobre un suelo Argiudol Típico (USDA Taxonomy), Serie Mar del Plata, con tosca presente a una profundidad promedio de 80-120 m. El cultivo antecesor fue soja. Las labores de las dos primeras campañas fueron con sistema convencional y en las dos últimas con siembra directa.
Los cultivares evaluados se distribuyeron en dos épocas de siembras, elegidas por el respectivo criadero entre las cuatro épocas establecidas en la RET de la Subregión IV. Las fechas de siembra de cada época y las densidades de semilla se presentan en la Tabla 1. El tamaño de las parcelas sembradas fue de siete surcos de ancho, distanciados 0.20 m y 7.0 m de largo. La orientación de los surcos fue similar en todas las campañas.
Los ensayos se condujeron sin riego. La cantidad total de nitrógeno aplicada fue calculada para satisfacer los requerimientos de un cultivo de trigo con rendimiento de 80 qq/ha (240 kg N/ha), mientras que la cantidad de fósforo aplicada correspondió a la reposición del fósforo exportado por el cultivo. Se aplicó azufre calculando la dosis como el 50% de la reposición del nutriente exportado por el cultivo. Previo a la siembra se fertilizó con 26 kg/ha de fósforo como fosfato diamónico (160 kg/ha). La fertilización con nitrógeno se dividió en tres momentos: (1) previo a la siembra como fosfato diamónico, (2) a inicio del macollaje y (3) al inicio de encañazón, como urea. El yeso se aplicó en coincidencia con la última fertilización nitrogenada. Todas las aplicaciones de nutrientes fueron en cobertura total.
Las malezas fueron controladas inicialmente por medio de un herbicida total en presiembra. En macollaje se aplicó un herbicida compuesto para controlar malezas gramíneas y latifoliadas (Tabla 2). Las enfermedades fueron controladas solamente en los ensayos “con funguicida” por medio de una mezcla comercial de una triazol y una estrobilurina (Tabla 2), mediante una única aplicación en las campañas 2013/14 y 2014/15 en hoja bandera expandida y por medio de dos aplicaciones en las campañas 2015/14 y 2016/17, una en hoja bandera expandida y otra en espigazón.
Tabla 1. Fechas y densidades de siembra en la RET de INTA Balcarce, con y sin fungicida, en las campañas 2013/14 a 2016/17.
Estabilidad del rendimiento interanual en INTA Balcarce, Campañas 2013/14 a 2016/17 - Image 3
 
Tabla 2. Fitosanitarios usados en la RET de INTA Balcarce, en las campañas 2013/14 a 2016/17.
Estabilidad del rendimiento interanual en INTA Balcarce, Campañas 2013/14 a 2016/17 - Image 4
Mediciones
El rendimiento en grano se cuantificó cosechando mecánicamente los cincos surcos centrales de cada parcela. Previo a la cosecha se midió el largo de cada parcela a fin de determinar la superficie cosechada. Antes y después de la cosecha se recorrieron los ensayos para cuantificar las pérdidas atribuibles a la cosecha. Los rendimientos de cada parcela fueron ajustados en proporción a tales pérdidas, aun cuando estas fueron bajas (rara vez mayor a 5%). El grano cosechado se pesó en húmedo y de los mismos se tomó una submuestra de aproximadamente 40 g la cual se pesó en húmedo y luego de secarla a 65°C durante 48 hs, para calcular su porcentaje de humedad. Los rendimientos presentados fueron ajustados a 14% de humedad (humedad de comercialización del grano de trigo según Norma XX de la Resolución 1262, SAGYP 2004).
Diseño experimental y análisis estadísticos
En cada campaña, se condujeron ocho ensayos independientes: un ensayo con fungicida y otro sin fungicida, cada par en cuatro épocas de siembra. Los cultivares (tratamientos) dentro de cada ensayo se dispusieron siguiendo un diseño experimental en bloques completos aleatorizados, con tres repeticiones en bloques. Se analizó la homogeneidad de varianza entre cultivares mediante la prueba del cociente de verosimilitud de Bartlett. La diferencia entre los rendimientos promedios de los cultivares se estableció mediante Análisis de Varianza (ANAVA). Cuando el ANAVA indicó diferencias significativas entre cultivares (P≤0.05), los promedios se compararon y por el método de la mínima diferencia significativa (MDS) de Fisher.
El rendimiento de cada cultivar también se expresó como la diferencia porcentual respecto del rendimiento promedio del ensayo como:
Estabilidad del rendimiento interanual en INTA Balcarce, Campañas 2013/14 a 2016/17 - Image 5
donde D RT Oij es la diferencia porcentual del rendimiento (RT O) del cultivar i, en el ensayo j y RTOj es el rendimiento promedio de todos los cultivares participantes del ensayo j que estuvieron presentes en 1, 2, 3 o 4 últimas campañas. Luego, para cada cultivar se calculó el promedio de los D RT Oij para las 2, 3 y 4 últimas campañas. Por otra parte, para cada cultivar se calculó el coeficiente de variación de DY a través de las campañas como: 
Estabilidad del rendimiento interanual en INTA Balcarce, Campañas 2013/14 a 2016/17 - Image 6
donde CVi es el coeficiente de variación de DRTO correspondiente al cultivar i. De esta manera el cálculo del CVi resulta balanceado, es decir, incluye en todos los ensayos los mismos cultivares.
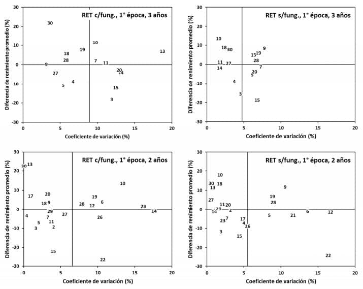
El valor de CVi fue considerado como estimador de la estabilidad del cultivar i. El cultivar más ventajoso será aquel que combine un alto DRTOiy un bajo CVi, ya que presenta alta diferencia porcentual respecto al promedio del ensayo a través de las campañas en que fue evaluado. Por lo tanto, los cultivares más recomendables son los ubicados en el cuadrante superior izquierdo de las Fig. 2 a Fig. 5 en las que se presentan los resultados.
Los cultivares analizados fueron los presentes en la RET de INTA Balcarce en la última campaña.
RESULTADOS
Los resultados de la 1° época de siembra se presentan en la Tabla 3 y la Fig. 2, los de la 2° segunda época en la Tabla 4 y la Fig. 3, los de la 3° época en la Tabla 5 y la Fig. 4, y los de la 4° época en la Tabla 6 y la Fig. 5. Los datos de cada campaña en formato Excel pueden consultarse en: RET - Red de Ensayos Comparativos de Variedades de Trigo
Tabla 3. Rendimiento promedio (RTO), diferencia de rendimiento porcentual (DRTO, Ec.[1]) y coeficiente de variación de DRTO (CV, Ec.[2]), de 1, 2, 3 y 4 últimas campañas (a partir de la campaña 2016/17), para cada cultivar de la 1° época de siembra de la RET de trigo de INTA Balcarce, con y sin fungicida (cultivares ordenados alfabéticamente).
 
Fig. 2. Relación entre la diferencia del rendimiento promedio (DRTO, Ec.[1]) y el coeficiente de variación (CV, Ec.[2]) del promedio de las 2 (abajo) y 3 (arriba) últimas campañas (no se presenta el promedio de 4 años porque la 1° época del año 2014 no fue sembrada), para los cultivares de la 1° época de siembra de la RET de trigo de INTA Balcarce, con (derecha) y sin (izquierda) fungicida. La línea horizontal corresponde al promedio de las DRTO y la vertical al promedio de los CV. Los números de cultivar y las MDS se presentan en la Tabla 3.
 
Tabla 4. Rendimiento promedio (RTO), diferencia de rendimiento porcentual (DRTO, Ec.[1]) y coeficiente de variación de DRTO (CV, Ec.[2]), de 1, 2, 3 y 4 últimas campañas (a partir de la campaña 2016/17), para cada cultivar de la 2° época de siembra de la RET de trigo de INTA Balcarce, con y sin fungicida (cultivares ordenados alfabéticamente).
 
Fig. 3. Relación entre la diferencia de rendimiento porcentual (DRTO, Ec.[1]) y el coeficiente de variación (CV, Ec.[2]) del promedio de las 2 (abajo), 3 (centro) y 4 (arriba) últimas campañas, para los cultivares de la 2° época de siembra de la RET de trigo de INTA Balcarce, con (derecha) y sin (izquierda) fungicida. La línea horizontal corresponde al promedio de las DRTO y la vertical al promedio de los CV. Los números de cultivar y las MDS se presentan en la Tabla 4.
Estabilidad del rendimiento interanual en INTA Balcarce, Campañas 2013/14 a 2016/17 - Image 13
 
Tabla 5. R Rendimiento promedio (RTO), diferencia de rendimiento porcentual (DRTO, Ec.[1]) y coeficiente de variación de DRTO (CV, Ec.[2]), de 1, 2, 3 y 4 últimas campañas (a partir de la campaña 2016/17), para cada cultivar de la 3° época de siembra de la RET de trigo de INTA Balcarce, con y sin fungicida (cultivares ordenados alfabéticamente).
 
Fig. 4. Relación entre la diferencia de rendimiento porcentual (DRTO, Ec.[1]) y el coeficiente de variación (CV, Ec.[2]) del promedio de las 2 (abajo), 3 (centro) y 4 (arriba) últimas campañas, para los cultivares de la 3° época de siembra de la RET de trigo de INTA Balcarce, con (derecha) y sin (izquierda) fungicida. La línea horizontal corresponde al promedio de las DRTO y la vertical al promedio de los CV. Los números de cultivar y las MDS se presentan en la Tabla 5.
Estabilidad del rendimiento interanual en INTA Balcarce, Campañas 2013/14 a 2016/17 - Image 16
 
Tabla 6. Rendimiento promedio (RTO), diferencia de rendimiento porcentual (DRTO, Ec.[1]) y coeficiente de variación de DRTO (CV, Ec.[2]), de 1, 2, 3 y 4 últimas campañas (a partir de la campaña 2016/17), para cada cultivar de la 4° época de siembra de la RET de trigo de INTA Balcarce, con y sin fungicida (cultivares ordenados alfabéticamente).
 
Fig. 5. Relación entre la diferencia de rendimiento porcentual (DRTO, Ec.[1]) y el coeficiente de variación (CV, Ec.[2]) del promedio de las 2 (abajo), 3 (centro) y 4 (arriba) últimas campañas, para los cultivares de la 4° época de siembra de la RET de trigo de INTA Balcarce, con (derecha) y sin (izquierda) fungicida. La línea horizontal corresponde al promedio de las DRTO y la vertical al promedio de los CV. Los números de cultivar y las MDS se presentan en la Tabla 6.
Estabilidad del rendimiento interanual en INTA Balcarce, Campañas 2013/14 a 2016/17 - Image 19
AGRADECIMIENTOS
A Bayer por la donación de los agroquímicos usados durante las tres últimas campañas.
A los ayudantes del Grupo Trigo de INTA Balcarce Carlos Cabral Farías, Juan Toledo, Marcio Muñoz, Julio Retamar y Mara Castaño, por su participación en la obtención de los datos.
REFERENCIAS
  • Abbate P.E., Pontaroli A.C., Lorenzo M., Retamar J.O., Castaño M.C, Toledo J.I. Cabral Farias C.A. 2011. Red de evaluación de cultivares de trigo pan (RET): Resultados obtenidos en INTA Balcarce sin y con funguicida durante la campaña 2010/11. INTA, EEA Balcarce, versión digital, www.researchgate.net.
  • Masiero B. y Castellano S. 1991. Programa para el análisis de la interacción genotipo x ambiente usando el procedimiento IML de SAS. Actas Primer Congreso Latinoamericano de Sociedades de Estadística, Valparaíso, Chile.
  • SAGPYA (Secretaría de Agricultura, Ganadería, Pesca y Alimentación). 2004. Boletín Oficial de la República Argentina, Primera Sección, Secretaría Legal y Técnica, Dirección Nacional del Registro Oficial, 30550, 6.
  • Shukla G.K. 1972. Some statistical aspects of partitioning genotype-environmental components of variability. Heredity, 29, 237-245.
  • Yan W., Hunt L.A., Sheng Q. y Szlavnics Z. 2000. Cultivar evaluation and mega-environment investigation based on the GGE biplot. Crop Science. 40:597–605.
Temas relacionados:
Autores:
Pablo Eduardo Abbate
Instituto Nacional de Tecnología Agropecuaria - INTA
Instituto Nacional de Tecnología Agropecuaria - INTA
Referentes que Recomendaron :
Monica Balzarini, Pablo Eduardo Abbate
Recomendar
Comentar
Compartir
Profile picture
¿Quieres comentar sobre otro tema? Crea una nueva publicación para dialogar con expertos de la comunidad.
Usuarios destacados en Agricultura
Miguel Ángel Taboada
Miguel Ángel Taboada
Instituto Nacional de Tecnología Agropecuaria - INTA
Instituto Nacional de Tecnología Agropecuaria - INTA
Investigación, director del Instituto de Suelos del INTA
Estados Unidos de América
Dr. Ramon León González
Dr. Ramon León González
North Carolina State University - NCSU
North Carolina State University - NCSU
Investigación / Profesor asociado, biología y ecología de malezas
Estados Unidos de América
Antonio Mallarino
Antonio Mallarino
Iowa State University
Iowa State University
Estados Unidos de América