INTRODUCCIÓN
La práctica del encalado es milenaria, sin embargo su desarrollo en ámbitos templados ha sido muy escaso en el pasado (Vivas & Fontanetto, 2003; Vázquez, 2007; Gambaudo, 2007). Estos mismos autores han verificado la respuesta de especies como la alfalfa y la soja al agregado de diferentes dosis de caliza, conchilla o dolomita. Sin embargo, aún se tiene poca información acerca de la residualidad de la práctica en los diferentes suelos de la región templada y la evolución de su incidencia sobre la acidez del suelo y el complejo de cambio. Por otro lado, se ha comprobado la necesidad de ajustar metodologías analíticas para la determinación del complejo de cambio específicas para un correcto diagnóstico en suelos tratados con estos correctores (Millán et al., 2010). La reacción del suelo es la resultante de diferentes fuentes de acidez y basicidad, las cuales tienen dinámicas afectadas por las condiciones edáficoclimáticas, que establecen equilibrios particulares de la solución interna-externa del suelo. Este equilibrio es alterado por el encalado y se desconoce si los protocolos usados actualmente para la determinación del pH actual y potencial, son igualmente apropiados para el seguimiento de la evolución de la acidez del suelo, así como la determinación de la necesidad del reencalado en estos ambientes templados. Se plantean las siguientes hipótesis: a) la relación suelo:líquido en la determinación potenciométrica del pH actual y potencial modifica los resultados y la sensibilidad de los mismos para evaluar el efecto de diferentes tratamientos de encalado, b) ambas medidas de pH permiten seguir la dinámica temporal de los correctores en suelos de la región templada. Los objetivos de este trabajo son: evaluar la evolución del pH actual y potencial en 2 suelos de la Pcia. de Bs. As. tratados con diferentes dosis de CaCO3 y CaCO3/MgCO3, y comparar la sensibilidad de ambas determinaciones con diferente relación suelo:líquido para discriminar situaciones.
MATERIALES Y MÉTODOS
Características de los suelos empleados
Para la experiencia se utilizaron 2 suelos Argiudol típico, uno Familia arcillosa fina illítica térmica (Lanfranco, 1970) del Pdo. de La Plata (Serie Bombeador) (Suelo A) y otro Familia limosa fina mixta térmica del Pdo. de Chivilcoy (Serie Chacabuco) (Suelo B), ambos de la Pcia. de Buenos Aires. El suelo A se caracteriza por tener textura franco-arcillo-limosa en superficie (28% de arcilla), con pH actual 1:1 de 5,58, pH actual 1:2,5 de 5,68, pH potencial 1:1 de 5,11 y pH potencial 1:2,5 de 5,33; 25,2 mg kg-1 de C orgánico, 14,3 cmolc kg-1 de CIC, 0,56 dS m-1 de conductividad eléctrica. El suelo B se caracteriza por tener textura franco-limosa en superficie (21% de arcilla), con pH actual 1:1 de 5,42, pH actual 1:2,5 de 5,94, pH potencial 1:1 5,12 y pH potencial 1:2,5 de 5,25; 21,8 mg kg-1 de C orgánico, 11,8 cmolc kg-1 de CIC, 0,32 dS m-1 de conductividad eléctrica.
Ensayo
Los suelos fueron secados a 40ºC con circulación forzada, mortereados y tamizados por malla de 2 mm. Con ellos se llevó adelante un ensayo completamente al azar con 12 repeticiones y arreglo factorial (Factores: tipo de suelo, tratamiento corrector). Los tratamientos correctores consistieron en la aplicación equivalente a 0, 750, 1.500 y 2.000 kg ha-1 de CaCO3 y CaCO3MgCO3 (24 (CaCO3):22 (MgCO3)) pulverulentos (<75 μm) mezclados intensamente con el suelo. Con los 2 suelos se llenaron recipientes de ¾ l que se mantuvieron a 90% de la capacidad de campo por riego diario con agua destilada durante 9 meses. A los 3, 6 y 9 meses se secaron y tamizaron de igual manera que las muestras originales, 3 repeticiones/suelo y tratamiento en cada oportunidad y determinó pH actual (suelo:agua) y potencial (suelo:KCl 1N), ambos en relaciones suelo: líquido 1:1 y 1:2,5 (SAGPyA, 2004).
Análisis estadístico
Probados los supuestos básicos se hicieron análisis de la varianza y comparación múltiple por LSD (p<0,05), análisis de correlación y se calcularon los coeficientes de variación de los promedios de cada tratamiento para cada método de determinación.
RESULTADOS Y DISCUSIÓN
En las Figuras 1, 2 y 3 se ilustran los resultados de las determinaciones para cada tratamiento y tipo de suelo, así como su evolución temporal. En la Tabla 1 se consignan los datos de los coeficientes de correlación y variación de las distintas determinaciones.
Tabla 1. Coeficientes de correlación entre métodos y de variación para cada método a través de los tratamientos (** est.sign. p< 0,01)
Table 1. Coefficients of correlation between methods and variation for each method through the treatments (** est.sign. p< 0,01)
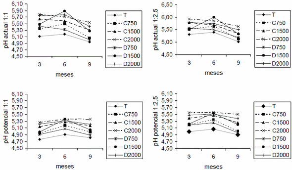
Figura 1. Promedio de las 3 fechas de evaluación de los valores de pH actual y potencial con relaciones suelo: líquido de 1:1 y 1:2,5 para 2 suelos bonaerenses
Figure 1. Average of the 3 dates of evaluation of actual and potential pH values with relations soil: liquid of 1:1 and 1:2,5 for 2 soil of Buenos Aires province
T. testigo, C: conchilla, D: dolomita: 750, 1500 y 2000 kg ha-1.Letras distintas: dif. est. sign.(p< 0,01) entre tratamientos para una misma determinación
En la Figura 1 puede apreciarse que la incubación de ambos suelos condujo a una acidificación inicial. Este efecto ya fue encontrado por otros investigadores y se atribuyó a procesos de nitrificación y oxidación de S orgánico, entre otros, provocado por las condiciones favorables de temperatura y humedad experimentales (Ramos Vásquez & Zúñiga Dávila, 2008)). En la misma figura puede observarse que el aumento de la dilución produjo, como ha sido probado en numerosas oportunidades por otros investigadores (Thomas, 1996; Anderson et al., 2003), aumentos en ambas determinaciones de pH. Sin embargo estos aumentos estuvieron asociados al tipo de pH y suelo.
Mientras que el pH potencial 1:2,5 fue 0,16-0,18 unidades mayor que la medida en dilución 1:1 para los suelos B y A, respectivamente, el aumento de pH actual fue de 0,11 unidades en promedio para el suelo A y 0,31 unidades en el suelo B. El aumento de dilución incrementa la disociación de los H+ desde la superficies de los coloides y la hidrólisis de los complejos de Al. Estos efectos amortiguarían los cambios de pH con la dilución, particularmente en los suelos más ácidos y por lo tanto con mayores reservas de H+ (Thomas, 1996). Cabe consignar que el suelo A tuvo una dinámica en valores de pH de mayor acidez que el B corroborando esta afirmación. Ambos suelos poseen pH actual inferior a 5,5, condición de solubilización del Al, lo que garantizaría la participación de este elemento en las reacciones de
bufferación. Por otro lado dichas reacciones de bufferación se modifican según la fuerza iónica de la suspensión suelo:líquido, la que es claramente modificada cuando se utiliza KCl en lugar de agua (Little, 1992). Cabe destacar que la asociación entre diluciones (1:1 vs 1:2,5) para un mismo líquido (agua o KCl) es lineal, con una pendiente est. sign. (p<0,01) de 0,12 y 0,10 respectivamente para agua y KCl.
En la Tabla 1 puede apreciarse que el coeficiente de variación de las 4 determinaciones entre tratamientos, promedio de las 3 fechas de análisis y repeticiones, es mayor en las determinaciones con menor dilución en ambos pH, para el suelo B, y en el pH actual del suelo A. Esto sugeriría que la dilución 1:1 sería más sensible al efecto de los correctores y por lo tanto de mayor utilidad para el seguimiento de su residualidad. En la misma Tabla 1 puede apreciarse, sin embargo, que las 4 medidas de pH están fuertemente asociadas, según se desprende de los coeficientes de correlación, todos estadísticamente significativos (p<0,01).
En las Figura 1 puede observarse que los tratamientos produjeron incrementos de pH progresivos con las dosis. En promedio, para las distintas fechas de muestreo, ese incremento fue de 0,29 unidades de pH actual 1:1/t de producto para ambos suelos por igual.
Figura 2. Evolución temporal de las distintas medidas de pH en el suelo Argiudol típico Serie Bombeador (suelo A) según tratamiento
Figure 2. Temporary evolution of the different measures from pH in a Typic Argiudoll soil Bombeador Series (soil A) according to treatment
El cambio en las restantes medidas de pH (actual 1:2,5; potencial 1:1 y 1:2,5) fue similar para las distintas determinaciones y suelos, con valores comprendidos entre 0,23-0,29 unidades/t de producto.
Las distintas medidas de pH tendieron a incrementarse a los 6 meses de iniciada la experiencia, incluso para los testigos (Figuras 2 y 3). La condición hídrica sostenida al 90% de la capacidad de campo en las incubaciones pudo haber sido la causa de esta evolución. El potencial redox y el pH del suelo están estrechamente relacionados. Durante los procesos reductores el consumo de algunos oxidantes, protones y electrones se modifica desigualmente. La reducción de glucosa a ácido pirúvico en las fracciones orgánicas, de MnO2-Mn2+ y SO42--H2S, son reacciones de reducción que consumen H+ en presencia de abundancia de electrones, es decir condiciones de reducción. Estas reacciones conducen, por lo tanto, a un aumento del pH. Sin embargo, este
proceso puede diferir de suelo en suelo, ya que otras reacciones de reducción, por ejemplo la de NO3--NO2- o de Fe(OH)3-Fe2+ no tienen el mismo efecto.

Figura 3. Evolución temporal de las distintas medidas de pH en el suelo Argiudol típico Serie Chacabuco (suelo B) según tratamiento
Figure 3. Temporary evolution of the different measures from pH in Typic Argiudoll soil Chacabuco Series (soil B) according to treatment
En general la tendencia con el aumento de las condiciones reductoras es a un aumento del pH en suelos ácidos y una disminución de esta medida en suelos básicos, en este último caso por producción de CO2 (Van Der Welle et al., 2007; Yamaguchi et al., 2011). El carácter ácido de los suelos evaluados, propiciaría el aumento del pH cuando la condición hídrica experimental propicia algunas reacciones de reducción, particularmente por su condición textural.
En las Figuras 2 y 3 puede constatarse que el incremento de pH respecto de los correspondientes testigos para cada fecha de evaluación, mayoritariamente para las 4 determinaciones, evolucionó de mayor a menor a lo largo de las 3 fechas de evaluación. Tomando como referencia el pH actual 1:1, el aumento promedio de los tratamientos fue de de 0,46, 0,45 y 0,33 unidades de pH para el suelo A, respectivamente para los 3, 6 y 9 meses de evaluación, y 0,53, 037 y 0,37 unidades de pH en el suelo B. Estos resultados sugieren que la aplicación de productos de esta granulometría en suelos con pH actual cercano a 5,4-5,6 (suelo:agua 1:1) y 5,7-5,9 (suelo:agua 1:2,5), con 3 meses de anticipación a la siembra de cultivos sensibles a la condición de acidez, podría ser satisfactoria. Cabe consignar que la presencia de vegetación podría modificar esta dinámica, merced a la absorción de elementos básicos (Ca, Mg, K) o la secreción de sustancias ácidas en la rizosfera. Ambos efectos, sin embargo, contribuirían a la solubilización de los carbonatos de las enmiendas por lo que puede preverse que su efecto favorecería a la anticipación de la mencionada solubilización.
CONCLUSIÓN
El aumento de la dilución en las medidas produjo aumentos de pH potencial similar para ambos suelos y de pH actual mayor para el suelo Argiudol típico de textura franco-limoso y menor acidez y CIC.
Las 4 medidas de pH están altamente asociadas aunque la dilución 1:1 sería más sensible al efecto de los correctores y por lo tanto de mayor utilidad para el seguimiento de su residualidad.
La aplicación de correctores carbonáticos pulverulentos en suelos con pH actual cercano a 5,4-5-6 (suelo:agua 1:1) y 5,7-5,9 (suelo:agua 1:2,5), con 3 meses de anticipación a la siembra de cultivos sensibles a la condición de acidez, podría ser satisfactoria
AGRADECIMIENTOS
Se agradece la colaboración del Sr. Juan Pablo Llado en la provisión de material experimental.
BIBLIOGRAFÍA
Anderson, S; I Nilsson & P Jennische. 2003. Desk study to assess the feasibility of a draf horizontal satandard for pH. Horizontal 15: 1-15.
Gambaudo, S; L Picco; P Soldano & A Cervetti. 2007. Fertilización compuesta con calico, magnesio y azufre en soja. Resultados experiencias campaña 2006/07. INTA. EEA Rafaela. Información Técnica cultivos de verano. Publicación Miscelánea Nº108
Lanfranco, JW. 1970. Carta de suelos de la estación experimental J. Hirschon de la FCAyF/UNLP. Inédito.
Little, IP. 1992. The relation between soil pH measurements in calcium chloride and water suspensions. Aust. J. Soil Res. 30(5): 587-592.
Millán, G, M Vázquez; A Terminiello & D Santos Sbuscio. 2010. Efecto de las enmiendas básicas sobre el complejo de cambio en algunos suelos ácidos de la región pampeana. Ciencia del Suelo 28 (2): 131-140.
Ramos Vásquez, E & D Zúñiga Dávila. 2008. Efecto de La humedad, temperatura y pH Del suelo em La actividad microbiana a nível de laboratório. Ecología aplicada 7 (1,2): 124-130.
SAGPyA (Secretaría de Agricultura, Ganadería, Pesca y Alimentación de la Nación Argentina). Dirección de Producción Agrícola. 2004. Sistema de Apoyo Metodológico a los Laboratorios de Análisis de Suelos (SAMLA).
Thomas, GW. 1996. Soil pH and soil acidity. En Methods of soil analisys. Part 3: Chemical Methods. Chapter 16: 475-490. SSSA Books Series 5. Madison, Wisconsin, USA.1390pp.
Van Der Welle, MEW; JGM Roelofs; HJM Op Den Camp & L PM Lamers. 2007. Predicting Metal Uptake By Wetland Plants Under Aerobic And Anaerobic Conditions. Env. Tox. Chem. 26 (4): 686-694.
Vázquez, M. 2007. Calcio y Magnesio del suelo. Encalado y enyesado. Fertilidad de suelos y fertilización de cultivos. Echeverría H., García F. Eds. Ed. INTA, 1º Edición, Reimpresión. Cap. 8: 161-185. 525 p. ISBN 987-521-192-3
Vivas, H & H Fontanetto. 2003. Fósforo, azufre y calcio en la producción de soja en el Departamento San Justo. 2002/2003. INTA, Estación Experimental Agropecuaria Rafaela. Información Técnica de cultivos de verano. Campaña 2003. Publicación Miscelánea Nº 100, Nº 15, 5 pág.
Yamaguchi, N; T Nakamura; D Dong; Y Takahashi; S Amachi & T Makino. 2011. Arsenic release from flooded paddy soils is influenced by speciation, Eh, pH and iron dissolutio. Chemosphere 83 (7): 925-935.